
Estimation of biomass allometric equations and biomass expansion factors for three tree species of urban trees in South Korea
Abstract
The National Institute of Forest Science (NIFoS) developed the Korean i-Tree by the collaboration research with US Forest Service from 2018 to 2023. The i-Tree is an effective method for non-destructively and effectively calculating the carbon storage of trees at urban areas in South Korea, which is full of obstacles. However, there might be differences in the amount of carbon storage depending on the growing conditions between urban and rural regions in South Korea. Therefore, this study was conducted to suggest conversion factors urban to rural regions adaptable to the environment and circumstances in Korea. This study analyzed 12 Korean research papers and differences in growth rates between forest trees, landscaping trees, and street trees for 14 forest species and 11 urban trees. There was a difference of average biomass ratio of 0.52 in Korean red pine, 0.22 in Korean pine, 0.52 in Ring-cup oak and that of 0.39 in Red-wood evergreen oak between urban and rural areas. Those values were lower than 0.80, which is the biomass conversion factor of the rural and urban of the i-Tree. Also, there was a difference in the relative values between landscaping trees and street trees of the same species in urban regions. Therefore, it would be suggested to apply a value of 0.43 rather than 0.80 when calculating the amount of carbon storage and sequestration for trees by applying the i-Tree in Korea.
Keywords:
Biomass, Conversion Factor, Carbon Dioxide, i-Tree, Urban Forests1. Introduction
Achieving national carbon neutrality targets requires accurate assessment and quantification of tree biomass and carbon storage. While direct harvesting is considered one of the most reliable methods for estimating tree carbon stocks, its application in South Korea is limited due to the high labor demands and costs associated with logging and root excavation (Jo et al., 2013). Consequently, a range of allometric equations has been developed to indirectly estimate carbon storage across various tree species. The tree biomass is generally estimated by allometric models using that incorporate combination forms of diameter at breast height (DBH) and height (H), with model coefficients varying by species and tree component (Gao et al., 2015; Návar, 2009; Park, 2009; Son et al., 2011). Some models provide a single equation for total tree biomass (Jo et al., 2014; Lee et al., 2022), while others use separate equations for individual components such as leaves, branches, stems, and roots (Ha et al., 2022; NiFoS, 2014). When appropriate allometric equations are available, individual tree biomass can be estimated non-destructively using only DBH and H, providing a practical alternative to destructive sampling (Ha et al., 2022). However, in the absence of suitable equations, biomass values may be significantly overestimated or underestimated.
Tree growth is influenced by factors such as climate, soil properties, and management practices (Ha et al., 2022), leading to corresponding variations in biomass and carbon storage. Urban areas, which account for 16.5% of South Korea’s territory and for 92.1% of the population (KOSIS, 2023; MOLIT, 2023), are characterized by intensive human activity. In contrast to forested environments, urban settings are frequently influenced by artificial factors such as buildings, traffic, and routine pruning, all of which can have a significant impact on tree growth. While extensive progress has been made in developing allometric equations for forest tree species, precise biomass models tailored to urban tree species remain limited (Yoon et al., 2013). This underscores the need for accurate biomass estimation methods that account for the unique characteristics of urban environments. Although the coefficients of biomass allometric equations vary between forest trees and urban roadside trees due to differences in growing conditions and management practices such as pruning, a standard urban conversion factor (UCF) of 0.8 is commonly applied at i-Tree Eco (Inventory of Tree Resources Economically and Ecologically) program (IPCC, 2006). As the UCF has not been empirically validated in Korea, the development of context-specific conversion factors is essential to improve the accuracy of carbon stock estimates in urban forests.
The conventional direct harvesting method for developing biomass estimation equations for forest trees is not easily applicable to urban trees (Yoon et al., 2013). As an alternative, the i-Tree Eco has been widely adopted as an effective, non-destructive tool for estimating tree biomass. Developed in 2006 by the USDA Forest Service in collaboration with partner organizations, the i-Tree is a free software program designed to evaluate forest and tree structure, assess ecosystem services, and estimate the value of community forest resources (Nowak, 2024). To calculate carbon storage and sequestration in the i-Tree program, tree biomass is calculated primarily. Biomass is calculated based on measurements such as DBH, H, and tree species, as well as carbon equations. For urban trees, the estimated value is multiplied by 0.8 using forest-derived biomass equations (Nowak, 2024). Ultimately, carbon storage is estimatied by multiplying a total dry weight by a conversion factor of 0.5, and annual carbon sequestration which is the annual amount of carbon absorbed by trees, is calculated by subtracting the carbon storage of current year from that of following year (Nowak, 2024).
However, as the tool was originally developed for use in the United States, its direct application to Korean urban trees presents certain limitations. To address this issue, the National Institute of Forest Science (NIFoS) developed a Korean version of i-Tree by incorporating local climate data, pollutant data, and species-specific information. This localized version has been available since 2019 (Choi et al., 2025).
Nonetheless, because of the significant differences in climate, species composition, and growth characteristics between Korea and the U.S., there are challenges to apply the i-Tree to Korean urban trees. In particular, biomass and carbon storage—both highly sensitive to environmental variability—require estimation approaches that reflect site-specific conditions. Accordingly, this study aims to develop biomass equations tailored to the characteristics of urban trees in South Korea.
2. Materials and Methods
2.1. Biomass Analysis Framework for Korean Urban Tree Species
This study employed both destructive and non-destructive methods to estimate tree biomass, enabling a comparative analysis between theoretical values and actual field measurements (Fig. 1). Biomass estimation equations for selected tree species were compiled through a review of domestic literature, and a total of nine trees—three species each of Maidenhair tree (Ginkgo biloba), Retusa fringetree (Chionanthus retusus), and Korean red pine (Pinus densiflora)—were harvested for direct measurement. Biomass conversion factor between forest and urban trees was derived through a comparative validation of carbon storage and CO2 reduction estimates obtained from both direct harvesting and literature-based methods. Based on this analysis, the study proposes a forest-to-urban biomass conversion factor tailored to Korean environmental conditions, providing a systematic framework for accurately estimating carbon storage and assessing the environmental and economic value of urban trees in South Korea.
2.2. Review of Allometric Equations Researches for Urban Tree Species
To analyze research trends in biomass allometric equations, 12 peer-reviewed journal articles published in Korea between 2002 and 2022 were reviewed. The review summarized key information, including study locations, target tree species, tree types, tree components, equation forms, coefficients of the allometric models, sample sizes (n), coefficients of determination (R2), and the range of DBH, specifying both minimum and maximum values. Tree components were classified as leaf, branch, stem, and root, while tree types were categorized as forests and urban trees (including landscaping and street trees) based on their growing environments and planting purposes.
2.3. Carbon Storage Measurement through Direct Harvesting
As part of the establishment of a carbon-neutral forest test plot, three tree species—Maidenhair tree, Retusa fringetree, and Korean red pine—were procured in accordance with standard specifications for street tree planting. Prior to planting, biomass was measured using the direct harvesting method. In August 2023, three sample trees of each species were selected, and their growth characteristics were recorded, including H, DBH, root collar diameter (R), crown base height (CBH), and crown width (W). Crown width and root spread were measured to the nearest 0.1 m using a folding ruler, based on the major (W1) and minor (W2) axes of the crown projection area and the horizontal extent of the root system, respectively. DBH and root collar diameter were measured at a H of 1.3 m and 0.3 m respectively using a diameter tape to the nearest 0.1 cm, while H and CBH were recorded to the nearest 0.01 m using a measuring tape after the trees were felled and laid horizontally. Based on the recorded tree specifications and growth data, crown volume (V, cm3) and crown area (A, cm2) were calculated by approximating the crown shape as an elliptical cylinder and an ellipse, respectively. Detailed calculation methods are provided in equations (1) and (2).
| (1) |
| (2) |
The samples used for growth measurement were washed and separated into individual components—leaves, branches, stem, and roots—to determine their fresh weight (FW). They were then dried at 85°C, and the dry weight (DW) of each component was recorded once no further change in mass was observed. To measure the total biomass of each tree part, DW to FW ratio of the sample tree was multiplied by the total FW.
The carbon content of tree woody tissues and leaves is generally assumed to be approximately 50% of the biomass (Jo and Ahn, 2012). In this study, a carbon conversion factor of 0.5 was applied to all three target species based on the average values reported (Table 1). Carbon storage (CS) was calculated by multiplying the measured FW by the carbon conversion factor (0.5). Carbon dioxide sequestration (CDS, kg) was then estimated by applying the molecular weight ratio of CO2 to the calculated carbon storage (Kim et al., 2023; Park and Kyu, 2010). Detailed calculation methods are provided in equations (3) and (4).
| (3) |
| (4) |
Although forest carbon storage is typically assessed using data on annual biomass increment and land-use change, research on the CO2 reduction benefits of urban green space expansion and greening initiatives remains limited (Park, 2009). To address this gap, this study evaluates not only carbon storage but also the effects of CO2 sequestration.
The biomass of forest and urban trees (including landscaping and street trees) was compared by species. Among the estimates derived from biomass equations compiled through the literature review (hereafter referred to as “literature-based biomass”), the analysis focused on species for which allometric equations were available for both forest and urban growth environments. Total tree biomass was compared by applying a common DBH. In cases where the literature provided component-specific equations, biomass was calculated separately for each component and then summed to determine total biomass. Ultimately, the study aimed to assess differences in tree biomass between forest and urban environments through 1) a comparison between literature-based biomass estimates, and 2) a comparison between literature-based estimates and those derived from direct harvesting.
3. Results & Discussion
3.1. Literature Review of Biomass Allometric Equations for Major Tree Species in Korea
To support biomass estimation of trees in both urban and forest environments in South Korea, a total of 287 biomass allometric equations covering 50 species were collected and catalogued (Appendix Table S1). D range columns mean the range (minimum, maximum) of DBH that can be applied to each equation. When categorized by growth environment as reported in the literature, forest tree species accounted for the largest share with 185 equations (64.5%), followed by landscaping trees with 87 equations (30.3%) and street trees with only 15 equations (5.2%). These results highlight the relatively limited research on biomass allometric equations for urban tree species compared to those for forest species.
DBH was the most commonly used variable in the biomass allometric equations, appearing in 61.7% of the equations reviewed. This reflects the practicality and importance of DBH as a fundamental and easily measurable parameter. The next most frequent were equations incorporating both DBH and H, which accounted for 88 cases or 30.7% of the total. A smaller number of equations (22 cases, 7.7%) estimated biomass using the composite variable D2H.
Of the 287 biomass allometric equations compiled for 50 tree species, only 10 equations corresponding to three species were used for comparison with values derived from the direct harvesting method. For Korean red pine in forest environments, no single equation was available for total biomass; instead, component-specific equations were used, and total biomass was calculated by summing the estimated biomass of each component.
3.2. Carbon Storage Estimation Results through Direct Harvesting
The growth measurements by species showed that Korean red pine had an average DBH of 3.9 cm, root collar diameter of 6.9 cm, and a H of 2.7 m. For Maidenhair tree, the DBH was 8.5 cm, root collar diameter was 13.8 cm, and H was 5.8 m. Retusa fringetree had a DBH of 4.5 cm, root collar diameter of 8.1 cm, and H of 3.7 m (Table 2). Since these sample trees were delivered in accordance with DBH specifications for landscaping, they are considered to be relatively small compared to the specifications for typical urban forests.
The direct harvesting results showed that the stem component contributed the largest proportion of dry weight across all three species, although the proportion of other components differed among the species (Table 3). For Korean red pine, Maidenhair tree, and Retusa fringetree, the stem accounted for 32.38%, 42.87%, and 43.96%, respectively, of the total dry weight, making it the largest proportion in each case. In Maidenhair tree and Retusa fringetree, the majority of dry weight was found in the woody tissue (stem, root, and branches) while the leaf component made up less than 5%. In contrast, Korean red pine had a relatively larger proportion of dry weight in the leaves (28.39%), and the root component represented the smallest proportion (16.21%). These findings reflect the characteristics of Korean red pine, a conifer with low wood density and a high leaf mass, as well as the traits of landscaping trees, which undergo root cutting and crown pruning during harvesting and distribution process, and the characteristics of deciduous trees, which are prone to leaf drop due to drought stress during the transplantation process.
The average carbon (C) storage per tree was calculated as 2.24 kgC/tree for Korean red pine, 8.40 kgC/tree for Maidenhair tree, and 3.36 kgC/tree for Retusa fringetree. When converted to carbon dioxide sequestration, Korean red pine was found to fix 8.23 kg of CO2 per tree, Maidenhair tree fixed 30.78 kg, and Retusa fringetree fixed 12.34 kg of CO2 (Table 4).
3.3. Biomass Comparison Using the Same Variable (DBH)
To compare the biomass of forest and urban trees, biomass estimates were made for trees with the same DBH. The comparison focused on species for which biomass allometric equations were available for both forest and urban areas, including Korean red pine, Korean pine (Pinus koraiensis), and Quercus spp. (Quercus glauca and Quercus acuta). The DBH range was restricted to 7 ~ 16 cm, which was the common range for all three species.
The results revealed differences in biomass estimates between forest and urban trees, even for the same species. When comparing the tree biomass, the biomass ratios of urban trees to forest trees for each species were as follows: Korean red pine ranged from 0.21 to 0.82 (average 0.52), Korean pine ranged from 0.13 to 0.40 (average 0.39), Ring-cup oak (Quercus glauca) ranged from 0.49 to 0.55 (average 0.52), and Red-wood evergreen oak (Quercus acuta) ranged from 0.33 to 0.44 (average 0.39) (Fig. 2, Table S1). On average, urban trees showed 43% lower biomass compared to forest trees.
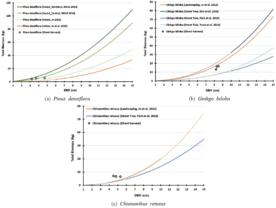
Examples of comparison in biomass between (a) forest and urban trees and (b) landscaping and street trees
Since no species had biomass allometric equations available for all growth environments (forest trees, landscaping trees, and street trees), a comparison of biomass between urban landscaping trees and street trees was made using Maidenhair tree and Sawleaf zelkova (Zelkova serrata). The biomass comparison in the DBH range of 12 ~ 28cm showed that for Maidenhair tree, the biomass ratio ranged from 0.35 to 1.14 (average 0.67), and for Sawleaf zelkova, it ranged from 0.22 to 0.83 (average 0.47) (Fig. 2, Table S1). On average, biomass was higher in landscaping trees than in street trees for both species. Notably, the biomass difference between landscaping and street trees was minimal for Maidenhair tree, likely due to its high adaptability to relatively unfavorable urban environments.
3.4. Comparison in Biomass between Equation and Direct Harvest
For each tree species, biomass values calculated using the direct harvesting method were compared with the values calculated using the biomass equation in domestic literature (Fig. 3). The results showed that some equations for Maidenhair tree and Korean red pine closely predicted the actual biomass values (Jo and Ahn, 2012; NIFoS, 2014). However, the biomass equation for forest trees was found to accurately simulate biomass for Korean red pine, while the biomass equation for urban trees underestimated biomass by an average of 0.18 (minimum 0.12, maximum 0.24). Additionally, for Retusa fringetree, the existing biomass allometric equations were found to underestimate the actual biomass by a factor of 0.47 to 0.78. Thus, even biomass estimation equations targeting urban trees may not accurately simulate actual biomass. The lack of domestic research on biomass allometric equation for small trees may have contributed to the underestimation of the biomass of Retusa fringetree. Alternately, it may be due to the fact that the DBH of Retusa fringetree samples used in this study deviated from the average. These findings highlight the need for further research to develop methods for quickly estimating tree biomass and identifying appropriate allometric equations for accurate predictions.
Even within the same species, differences in biomass estimation allometric equations exist depending on the growth environment, such as forests, street trees, and landscaping trees. Therefore, it is essential to apply appropriate biomass estimation equations and conversion factors to accurately evaluate carbon storage and relative environmental economic value. To ensure accurate biomass estimates, it is necessary to develop suitable allometric equations or conversion factors tailored to specific environments and tree species. Although the forest-to-urban tree biomass conversion factor in the i-Tree model (UFORE Method) is 0.8 (IPCC, 2006; Nowak, 1994), this study found that the biomass ratio of landscaping trees to forest trees ranged from an average of 0.39 (for Red-wood evergreen oak) to 0.52 (for Korean red pine and Ring-cup oak). Overall, the results suggest that urban environments impose more constraints on tree growth than forest environments, with an average biomass reduction of 43%. It is possible that it may not meet the conversion factor of 0.8 used in i-Tree, as it was based on only three samples. Future research should therefore increase the number of sample trees.
3.5. Changes of Biomass Conversion Factor by Urbanization in a City
Changes in biomass by urbanization and climate change caused by increased CO2 concentrations may have negative impacts on ecosystem services including GPP (Chen et al., 2022). There is a recent research on the consideration of diverse factors in urban environments influencing tree volume and the improvement of biomass estimation accuracy (Lee et al., 2025). There is also a need to reevaluate previously developed relative growth equations and coefficients. These research and urbanization impacts are of great concern in mega cities where rapid urbanization is predominant. Understanding how urbanization affects the biomass of urban forests will assist for policymakers to make decisions on implementation and maintenance of urban forests. This study proposes an urban conversion factor designed to accurately estimate the carbon storage and offset functions of urban forests, and it is expected that applying this factor to the Korean version of i-Tree will enable a more effective evaluation of urban forest functions.
However, this study focused on species for which biomass allometric equations exist for both forest and urban environments, and used only a limited number of species that are actually planted. Additionally, biomass estimation using the direct harvesting method was conducted on samplings prior to planting, rather than on trees in their active growth phase. Even the growth status of trees used in the direct harvesting method was measured, tree ages are missing in this study. Therefore, future research should include a wider variety of species and a larger sample size, and should also involve measurements and comparative validation on mature trees, rather than saplings before planting. Moreover, further research should include more detailed information such as forest age is necessary.
4. Conclusion
Since it is difficult to apply destructive methods such as existing direct harvesting method in urban areas, it is important to estimate tree biomass and environmental economic value using non-destructive methods, like i-Tree. However, there was a problem that the biomass conversion factor currently used in i-Tree were suitable for trees in the United States. To solve this problem, this study proposed the conversion factor by comparing biomass of urban trees and forest trees in South Korea. Through a literature review, 287 biomass allometric equations for 50 tree species were compiled, and biomass differences among forest trees and urban trees (landscaping trees, and street trees) were compared based on their growth environments. Direct harvesting comparisons were also conducted for Korean red pine, Maidenhair tree, and Retusa fringetree. The biomass ratio of landscaping trees to domestic forest trees was calculated by species, and the results showed values ranging from an average of 0.39 (for Red-wood evergreen oak) to 0.52 (for Korean red pine and Ring-cup oak). As a result, a comparison of the biomass of urban trees and forest trees through literature review and direct harvesting methods revealed that the biomass of urban trees was on average 43% smaller. Therefore, it is recommended to apply an i-Tree forest-to-urban biomass conversion factor value of 0.43, as opposed to the 0.8 used in the i-Tree model. These proposed biomass conversion factor expected to quickly and accurately estimate the actual biomass of urban trees. Although this study focused on lanscaping trees composed of a small number of samples and tree species, it may improve to contribute to the accurate estimation of not only the biomass of urban trees but also their carbon storage and sequestration in future research. Furthermore, applying the urban-forest biomass conversion factor to the i-Tree program would enable to calculate environmental economic values of urban forests non-destructively and effectively.
Acknowledgments
This study was partially supported by the research project, entitled as “Study on the Evaluation for Sequestration of Carbon Dioxide and Management of Urban Forests based on the observation system (FM0500-2022-01-2024)” of NIFoS.
References
-
Chen Y, Huang B, Zen H. 2022. How does urbanization affect vegetation productivity in the coastal cities of eastern China? Sci Total Environ 811: 152356.
[https://doi.org/10.1016/j.scitotenv.2021.152356]
-
Choi S, Yeo JH, Kim C, Park CR. 2025. Estimation of the environmental & ecological value of Asian Initiative for Clean Air Networks (AiCAN) sites using Korean i-Tree Eco. J Korean Soc For Sci 114(1): 1-17.
[https://doi.org/10.14578/jkfs.2025.114.1.1]
-
Gao H, Dong L, Li F, Zhang L. 2015. Evaluation of four methods for predicting carbon stocks of Korean pine plantations in Heilongjiang Province, China. PloS One 10(12): e0145017.
[https://doi.org/10.1371/journal.pone.0145017]
-
Ha J, Baek G, Choi B, Lee J, Son Y, Kim C. 2022. Development of allometric equations for carbon storage of Ginkgo biloba Linn., Zelkova serrata (Thunb.) Makino. and Prunus × yedoense Matsum. Planted in Jinju-City. J Clim Change Res 13(2): 135-145.
[https://doi.org/10.15531/KSCCR.2022.13.2.135]
- IPCC. 2006. IPCC Guidelines for National Greenhouse Gas Inventories, prepared by the National Greenhouse Gas Inventories Programme. In: Eggleston HS, Buendia L, Miwa K, Ngara T, Tanabe K (eds). Hayama, Japan: IGES.
-
Jo HK, Ahn TW. 2012. Carbon storage and uptake by deciduous tree species for urban landscape. J Korean Inst Landscape Archit 40(5): 160-168.
[https://doi.org/10.9715/KILA.2012.40.5.160]
-
Jo HK, Kil SH, Park HM, Kim JY. 2019. Carbon reduction by and quantitative models for landscape tree species in southern region -For Camellia japonica, Lagerstroemia indica, and Quercus myrsinaefolia-. J Korean Inst Landscape Archit 47: 31-38.
[https://doi.org/10.9715/KILA.2019.47.3.031]
-
Jo HK, Kim JY, Park HM. 2013. Carbon storage and uptake by evergreen trees for urban landscape-For Pinus densiflora and Pinus koraiensis. Korean J Environ Ecol 27(5): 571-578.
[https://doi.org/10.13047/KJEE.2013.27.5.571]
-
Jo HK, Kim JY, Park HM. 2014. Carbon reduction effects of urban landscape trees and development of quantitative models-For five native species. J Korean Inst Landscape Archit 42(5): 13-21.
[https://doi.org/10.9715/KILA.2014.42.5.013]
- Jo HK, Kim JY, Park HM. 2019. Carbon reduction services of evergreen broadleaved landscape trees for Ilex rotunda and Machilus thunbergii in Southern Korea. J For Environ Sci 35(4): 240-247.
-
Jo HK. 2002. Impacts of urban greenspace on offsetting carbon emissions for middle Korea. J Environ Manag 64(2): 115-126.
[https://doi.org/10.1006/jema.2001.0491]
-
Kim HJ, Lee SH. 2016. Developing the volume models for 5 major species of street trees in Gwangju Metropolitan City of Korea. Urban For Urban Greening 18: 53-58.
[https://doi.org/10.1016/j.ufug.2016.05.004]
- Kim HK, Hong YS, Lim YK, Yun IS, Do KS, Jung CH, Lee CM, Roh HE, Kang SK, Kim CB. 2023. Estimation of carbon stock and annual CO2 uptake of four species at the Sejong national arboretum. J Environ Impact Assess 32(1): 41-48.
- Kim HK, Kim H, Hong YS, Yun, IS, Lim YK, Kang SK, Kim CB. 2022. Sequestration factors development and comparison of carbon storage and uptake by shrubs for urban forests and gardens. J Korean Inst For Recreat 26(4): 131-139.
- KOSIS (Korean Statistical Information on Service). 2023. Urban planning status - Population status of urban areas (municipalities); [accessed 2025 April 7]. https://kosis.kr/statHtml/statHtml.do?orgId=460&tblId=TX_315_2009_H1001&conn_path=I2, .
-
Lee JM, Kim HS, Choi B, Jung JY, Lee S, Jo H, Kim G, Kwon S, Lee SJ, Yoon TK, Kim C, Lee KH, Lee WK, Son Y. 2025. Enhanced accuracy in urban tree biomass estimation: Developing allometric equations with land use classifications. Forests 16(5): 841.
[https://doi.org/10.3390/f16050841]
- Lee S, Lee S, Han Y, Lee J, Son Y, Yoon TK. 2022. Determining the aboveground allometric equations of major street tree species in Wonju, South Korea using the nondestructive stem analysis method. J Korean Soc For Sci 111(4): 502-510.
- MOLIT (Ministry of Land, Infrastructure and Transport). 2023. Urban planning status; [accessed 2025 April 7]. https://www.eum.go.kr/web/cp/st/stUpisStatDet.jsp, .
- National Forest Institute of Science (NIFoS). 2014. Carbon emission factors and biomass allometric equations by species in Korea. NIFoS. 97.
-
Návar J. 2009. Allometric equations for tree species and carbon stocks for forests of northwestern Mexico. For Ecol Manag 257(2). 427-434.
[https://doi.org/10.1016/j.foreco.2008.09.028]
- Nowak DJ. 1994. Atmospheric carbon dioxide reduction by Chicago’s urban forest. Chicago’s urban forest ecosystem: Results of the Chicago Urban Forest Climate Project. Gen. Tech. Rep. NE-186. Radnor, PA: U.S. Department of Agriculture, Forest Service, Northeastern Forest Experiment Station: 83-94.
-
Nowak DJ. 2024. Understanding i-Tree: 2023 summary of programs and methods. General Technical Report NRS-200-2023. Madison, WI: U.S. Department of Agriculture, Forest Service, Northern Research Station. 103.
[https://doi.org/10.2737/NRS-GTR-200-2023]
- Park EJ. 2009. Quantification of CO2 uptake by urban trees and greenspace management for C sequestration. Gyeonggi Research Institute. Basic Research 2009-09.
- Park EJ, Kyu YK. 2010. Estimation of C storage and annual CO2 uptake by street trees in Gyeonggi-do. Korean J Environ Ecol 24(5): 591-600.
-
Park JH, Baek SG, Kwon MY, Je SM, Woo SY. 2018. Volumetric equation development and carbon storage estimation of urban forest in Daejeon, Korea. For Sci Technol 14(2): 97-104.
[https://doi.org/10.1080/21580103.2018.1452799]
- Son YM, Lee KH, Kim RH, Pyo JK, Park IH, Son YH, Lee YJ, Kim CS. 2011. Development of carbon emission factors and biomass allometric equations by major species in Korea. J Korean Soc For Sci 2011: 1088-1090.
- The Government of the Republic of Korea (GIR). 2024. [accessed 2025 April 3]. https://www.gir.go.kr, .
-
Yoon TK, Park CW, Lee SJ, Ko S, Kim KN, Son Y, Lee KH, Oh S, Lee WK, Son Y. 2013. Allometric equations for estimating the aboveground volume of five common urban street tree species in Daegu, Korea. Urban For Urban Greening 12(3): 344-349.
[https://doi.org/10.1016/j.ufug.2013.03.006]



