
Nature-based solutions and PM2.5: Insights from urban greening in Suwon, South Korea
Abstract
Urban green spaces are increasingly promoted as Nature-based Solutions (NbS) that deliver co-benefits for climate mitigation, adaptation, and air quality management. This study evaluates whether recent municipal greening initiatives in Suwon, South Korea, were associated with measurable changes in fine particulate matter smaller than 2.5 micrometers (PM2.5). In February 2023, Suwon launched the Palm-Sized Garden project, establishing hundreds of community-managed gardens on vacant lots, followed by the opening of the Ilwol and Yeongheung Arboreta in May 2023. Monthly data from 2018 to 2024 were analyzed using an Interrupted Time Series (ITS) model that controlled for meteorology, precursor pollutants (SO2, NO2, CO), vegetation cover measured by the Normalized Difference Vegetation Index (NDVI), and background PM2.5. To strengthen inference, a Random Forest (RF) model trained on pre-intervention data (January 2018–January 2023) was used to generate counterfactual predictions for February 2023–December 2024. The ITS results indicate a post-intervention slowdown in PM2.5 growth, with NDVI effects particularly strong during the high-pollution season (November–April). Similarly, the RF model predicted concentrations in late 2024 that were lower than the counterfactual estimates, suggesting a delayed improvement aligned with vegetation maturation. While causality cannot be firmly established, the combined evidence implies that urban greening may contribute to moderating PM2.5 levels. More broadly, the Suwon case highlights the potential of NbS to complement conventional pollution management while simultaneously enhancing biodiversity, urban resilience, and human well-being.
Keywords:
PM2.5, Urban Greening, Time Series, Random Forest, Nature-based Solutions1. Introduction
Air pollution, particularly fine particulate matter (PM2.5), remains one of the most harmful environmental threats in urban areas, driving substantial global morbidity and premature mortality (Lelieveld et al., 2015; WHO, 2013). Exposure is strongly linked to respiratory and cardiovascular disease, impaired cognitive development, and early death (Nowak et al., 2014). In South Korea, PM2.5 concentrations frequently exceed national standards (Drew et al., 2025; Oak et al., 2025), with seasonal peaks from late autumn through spring (AirKorea, n.d.). While mitigation efforts have traditionally centered on industrial and transportation sources (Oak et al., 2025), recent climate science highlights the potential of unban green infrastructures as Nature-based Solutions (NbS). The Intergovernmental Panel on Climate Change (IPCC) defines NbS as actions that protect, restore, and manage ecosystems to address societal challenges, including climate change, while providing human well-being and biodiversity benefits (IPCC, 2022). In urban settings, NbS contribute not only to climate mitigation (e.g. carbon sequestration) and adaptation (e.g. flood control, heat reduction), but also deliver air quality improvements, making them particularly relevant for climate-resilient development (IPCC, 2022; IUCN, 2016).
Urban green spaces, from small gardens to large forests, can mitigate PM2.5 through dry deposition, microclimate regulation, and airflow modification (Abhijith et al., 2017; Janhäll, 2015). Vegetation intercepts airborne particles, with efficiency shaped by canopy structure and leaf traits (Chen et al., 2017; Speak et al., 2012). Large-scale studies highlight urban forests’ substantial pollutant removal capacity (Nowak et al., 2014), while landscape design strongly influences dispersion patterns (Vos et al., 2013). Beyond air quality, NbS also support biodiversity, urban heat island reduction, and resilience, underscoring their multifunctional role in addressing climate change and public health challenges (IPCC, 2022; IUCN, 2016; Kabisch et al., 2017).
Despite these insights, important limitations remain. Many studies are reviews (Abhijith et al., 2017; Janhäll, 2015) or focus on site-specific contexts (Speak et al., 2012; Vos et al., 2013), providing micro-scale evidence but limited city-wide guidance. In South Korea, a few studies link greening to PM2.5 (Chun et al., 2024; Lee, 2024), yet rarely employ statistical frameworks. They often lack control for confounders such as meteorological factors and precursor pollutants, complicating attribution.
Suwon City in Gyeonggi-do provides an appropriate case study for examining the implications of municipal greening initiatives on air quality. In February 2023, the city launched the Palm-Sized Garden (hereafter “community garden”) project, establishing hundreds of resident-managed micro-gardens across neighborhoods. Three months later, it expanded urban green infrastructure with the opening of the Ilwol Arboretum (10.0 ha) and the Yeongheung Arboretum (14.6 ha), large public green spaces intended to enhance biodiversity, ecosystem services, and recreation. In this study, these coordinated greening initiatives, rather than individual parks or gardens, are defined as the intervention1). The compressed implementation timeline offers a unique opportunity to observe whether observable shifts in PM2.5 concentrations coincided with the rollout of these measures.
The community garden project converted scattered public and privately owned vacant lots into resident-managed green spaces, transforming underutilized land into active vegetation cover. Both Ilwol and Yeongheung Arboretums were redeveloped from sites previously designated as urban parks, upgrading conventional parkland into tree-dense arboreta. Compared to parks, arboreta typically feature higher tree density and species diversity, factors shown to enhance particulate deposition and cooling effects, thereby providing stronger contributions to urban air quality improvement (Abhijith et al., 2017; Janhäll, 2015; Nowak et al., 2014). Collectively, these land-use conversions, from vacant lots and conventional parks to structured green infrastructure, are likely to magnify the city’s capacity to mitigate PM2.5 and related pollutants.
Building on this context, the present study investigates whether Suwon’s greening initiatives were associated with measurable changes in PM2.5 concentrations at the city scale. Urban air quality reflects complex interactions among precursor pollutants (SO2, NO2, CO)2), meteorological factors such as temperature, wind, and precipitation, and background PM2.5 transported across national borders. Accordingly, this study applies methods that explicitly control for these influences while detecting potential structural changes in pollution trends.
We employ an Interrupted Time Series (ITS) model using monthly PM2.5 data from 2018 ~ 2024, controlling for meteorology, precursors, background level and the Normalized Difference Vegetation Index (NDVI) as a proxy for vegetation. Seasonal adjustment accounts for Korea’s high-pollution months (November–April)3), preventing seasonal variation from obscuring greening effects. The intervention date corresponds to February 2023, with arboretum openings incorporated into the same greening wave.
To test robustness, a Random Forest (RF) model was trained on pre-intervention data (January 2018–January 2023) and applied to Suwon’s post-intervention period to estimate PM2.5 levels absent the greening initiatives. Comparisons of observed and predicted values provide an independent validation of the ITS findings. By integrating ITS with RF-based counterfactuals, this study offers suggestive evidence that urban greening may contribute to PM2.5 reduction.
While the analysis cannot confirm causality, it provides important implications for how greening initiatives can complement emission-control strategies. Highlighting the potential role of NbS in both air quality management and climate change adaptation, this research advances the understanding of greening as a pathway toward healthier, more climate resilient cities.
2. Material and Methods
2.1. Data
Air pollution data, including PM2.5, SO2, NO2, and CO, were obtained from the AirKorea air quality yearbook and monthly reports. To account for the potential influence of transboundary air pollution, PM2.5 data from Baengnyeong Island, a national background monitoring site near the Yellow Sea, is incorporated. This station is widely used to track transported pollutants from continental sources, and including it as a control variable would help distinguish domestic greening effects from external influences. Pollutant concentrations were log-transformed to reduce skewness and approximate normality. Meteorological data from the Korea Meteorological Administration (KMA) included temperature, wind speed, precipitation, pressure, solar radiation, and humidity; these were retained in original units for interpretability. Table 1 lists all variables and sources.
NDVI data were derived from Landsat 8 Operational Land Imager (30 m resolution), provided by United States Geological Survey (USGS) and accessed via Google Earth Engine. NDVI was calculated using the standard formula:
| (1) |
where Band 4 = Red and Band 5 = Near-Infrared (NIR). Values range from –1 to +1, with higher scores reflecting denser vegetation.
The dataset spans January 2018–December 2024 at monthly frequency, covering both pre- and post-intervention periods. February 2023 marks the community garden intervention start, with the arboretum openings in May 2023 included in the same treatment window. Descriptive statistics appear in Table 2.
2.2. Methodology
We first applied an ITS model, using log-transformed PM2.5 as the dependent variable. Explanatory variables included NDVI, log-transformed precursor pollutants (SO2, NO2, and CO), meteorological factors and log-transformed background PM2.5. We included a monthly time index (series) to capture baseline temporal trends, a post-intervention dummy (post) set to 1 from February 2023 to mark the start of the program, and an interaction term (series_post) to estimate whether the slope of PM2.5 trends shifted after the intervention. Seasonality was encoded (season = 1 for high-pollution months; 0 otherwise), with an interaction term (ndvi_season = NDVI × season) to capture vegetation effects under elevated pollution.
The ITS equation is:
| (2) |
where Xt is a vector of covariates (SO2, NO2, CO, meteorological controls and background PM2.5), and εt is the error term. β₁ captures the overall time trend in PM2.5 from 2018 ~ 2024, with negative values indicating decline and positive values suggesting increase. β₂ measures the immediate level shift after the February 2023 intervention, comparing average levels before and after greening. β₃ reflects the change in slope post-intervention; a negative and significant value indicates that PM2.5 declined more steeply after greening. β₄ accounts for Korea’s seasonal pollution cycle (November–April = 1, May–October = 0), with positive values reflecting higher winter concentrations. β₅ represents the direct effect of vegetation (NDVI), where negative values imply overall PM2.5 reduction. β₆ interacts NDVI with the high-pollution season, testing whether vegetation is especially effective in winter; a significantly negative value suggests stronger greening benefits when pollution is highest.
To validate the ITS results, a RF model was trained on monthly data from 2018–2023 and tested on Suwon’s post-intervention period (February 2023–December 2024). A second RF model using the broader Gyeonggi-do dataset, which closely mirrored Suwon’s pre-intervention trends, enhanced predictive stability. The RF also included the same set of variables controlled in the ITS model to ensure consistency across methods. Together with ITS, the RF results suggest that rapid municipal greening may have contributed to PM2.5 reductions, complementing conventional emission-control measures. More broadly, the findings underscore the potential of NbS to support climate change mitigation and adaptation while improving urban air quality.
3. Results
3.1. Interrupted Time Series Analysis
Table 3 presents the ITS regression results across five specifications. The adjusted R2 values increase steadily from 0.652 in the baseline specification (Model 1) to 0.911 in the fully specified model (Model 5), indicating that the models explain a substantial portion of the variance in PM2.5 concentrations.
The series coefficient, which captures the underlying linear trend in PM2.5 concentrations over the entire study period, is negative and significant in the simpler models (β = –0.007, p < 0.01 in Models 1–2). This suggests that PM2.5 levels were gradually declining on average from 2018 to 2024. However, once additional covariates are introduced (Models 3–5), the coefficient becomes small and insignificant, indicating that much of the observed trend can be explained by vegetation dynamics, precursor pollutants, or meteorological factors.
The post coefficient is positive and statistically significant in Models 1–4 (β = 0.557–0.936, p < 0.01–0.05), indicating an immediate upward shift in PM2.5 levels after February 2023. However, in the fully specified Model 5, the effect diminishes and becomes insignificant (β = 0.142, p > 0.1). This pattern suggests that the apparent increase observed in simpler models may reflect confounding factors, such as seasonal variation or transboundary pollution episodes, rather than genuine greening effects. Importantly, the positive post estimates also point to the absence of any immediate air-quality improvement, raising the possibility that the intervention’s benefits emerge only with a time lag as vegetation matures and ecosystem functions strengthen.
The series_post coefficient captures the change in slope of PM2.5 concentrations after the intervention relative to the pre-intervention trend. Across Models 2–4, the coefficient is consistently negative, reaching statistical significance in Model 2 (β = –0.007, p < 0.1) and Model 3 (β = –0.011, p < 0.01). This indicates that, following the greening initiatives, the rate of PM2.5 increase slowed compared with the pre-intervention trajectory. The stronger and highly significant effect in Model 3 suggests a robust moderation of PM2.5 growth when both NDVI and pollution precursors are controlled. However, the coefficient becomes small and insignificant in Model 5 (β = 0.001, p > 0.1), implying that once full meteorological variability and background influences are included, the slope change is less clearly attributable to greening. Taken together, these results suggest that Suwon’s greening initiatives may have contributed to a gradual moderation in PM2.5 trends, but the effect is sensitive to model specification and may be partially confounded by external factors such as weather and transboundary pollution.
Turning to vegetation effects, NDVI alone is generally insignificant except in the most comprehensive model (β = 2.485, p < 0.05 in Model 5). This should not be interpreted as vegetation increasing pollution. Instead, once background PM2.5 is included, NDVI may be capturing residual variation or collinearity effects, rather than a genuine impact.
By contrast, the ndvi_season interaction is consistently negative and significant in Models 2 and 5 (β = –4.137, p < 0.05; β = –2.601, p < 0.1), indicating that vegetation has its strongest pollution-mitigating effect during the November–April high-pollution season. This aligns with expectations that greening effects on PM2.5 are most effective when baseline pollutant concentrations are elevated.
Among the precursor pollutants, NO2 is the most robust and strongly positive predictor of PM2.5 across specifications (β up to 0.609, p < 0.01), underscoring its role as a dominant precursor. CO also shows a positive association in Models 4–5, while SO2 effects are weaker and less consistent.
Regarding meteorological controls, temperature and pressure are significantly negative in Models 4–5, indicating that warmer and higher-pressure conditions are associated with lower PM2.5 levels. Sunshine duration also shows a positive and significant association in the fully specified models.
Overall, the ITS results suggest that Suwon’s greening initiatives did not yield an immediate reduction in PM2.5 but were associated with a gradual moderation in its growth trajectory. This is consistent with the expectation that vegetation effects emerge over time as canopy cover expands and deposition processes intensify.
3.2. Random Forest Modelling
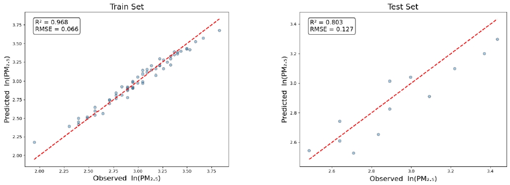
To further validate the findings, a robustness check was conducted using a RF model trained on the same dataset, with features including NDVI, lnSO2, lnNO2, lnCO, wind, temperature, precipitation, pressure, sunshine, humidity, and lnBackground PM2.5 and season. Hyperparameters were optimized via grid search with cross-validation. The model performed well (training: R2 = 0.968, RMSE = 0.066; test: R2 = 0.803, RMSE = 0.127), indicating that the predictors identified in the regressions were not artifacts of model specification.
The RF model also provided a counterfactual perspective. Fig. 2 compares observed PM2.5 concentrations (blue line) with predicted counterfactual values (red dashed line) for February 2023–December 2024. Observed values generally tracked the counterfactual but tended to fall slightly below predictions in late 2024, suggesting the possibility of emerging greening effects. However, as shown in Fig 3, the 95% prediction intervals consistently included zero, meaning these differences may not be significant.
Observed versus predicted ln (PM2.5) concentrations after the intervention (February 2023–December 2024). The blue line shows observed values, while the red dashed line represents model predictions
Difference between observed ln (PM2.5) and predicted values with prediction intervals. The blue line shows the gap between actual and predicted values, while dashed lines mark the 95% prediction interval (PI) of RF estimates (adjusted by subtracting observations). Values below zero indicate observed PM2.5 levels lower than expected
Across 2024, concentrations were, on average, lower under the intervention. While this pattern is directionally consistent with the expectation that greening effects manifest after a maturation period (Hilbert et al., 2019; Ossola et al., 2021), the RF evidence should be interpreted as suggestive rather than conclusive.
To address potential bias from Suwon’s small sample, a second RF model was trained on the broader Gyeonggi-do dataset, which showed similar pre-intervention trends. Its performance was slightly weaker (R2 = 0.748, RMSE = 0.144) than the Suwon-specific model, confirming that the results were not artifacts of sample size. Together, the two models highlight both the robustness of the relationships and the importance of capturing local dynamics, reinforcing suggestive evidence that urban greening reduced PM2.5 in Suwon.
4. Discussions and Conclusion
This analysis suggests that urban greening initiatives in Suwon were associated with reductions in PM2.5 concentrations, particularly during the high-pollution season when baseline levels are elevated. Both the ITS results and the RF counterfactuals point toward a moderation of PM2.5 trajectories following the launch of the community garden project and the opening of the Ilwol and Yeongheung Arboreta. The strong predictive role of NDVI during November–April underscores that vegetation can remain effective even in winter, when air quality challenges are most severe. These findings align with prior evidence showing that measurable increases in vegetation are linked to pollutant removal capacity (Escobedo et al., 2011; Nowak et al., 2014).
At the same time, several limitations must be acknowledged. First, the study covers only a short post-intervention period. Since vegetation requires time to mature, the ecological benefits of greening are likely underestimated here, as suggested by the delayed divergence in RF results. Second, while ITS and RF provide complementary evidence of association, they cannot establish definitive causality. More rigorous quasi-experimental designs should be pursued once longer time series become available. Third, this study did not account for variation in greening design, such as species composition, canopy density, or spatial arrangement, all of which may influence pollutant removal efficiency.
Despite these caveats, the Suwon case provides indicative evidence that urban greening initiatives, especially when implemented as coordinated strategies, can contribute to cleaner air during critical pollution periods. By linking NDVI increases to hectares of newly established green space, the findings suggest that even modest expansions of vegetation can yield measurable air quality benefits. Although longer-term research is required to confirm causal effects, Suwon demonstrates how local greening initiatives can complement emission-control policies and strengthen urban resilience.
More broadly, these interventions should be understood within the framework of NbS, rather than solely as air quality measures. NbS encompass actions that protect, restore, and manage ecosystems to address societal challenges while delivering benefits for both biodiversity and human well-being (IUCN, 2016). In this sense, urban green spaces not only mitigate PM2.5 but also help cool urban heat islands, enhance ecological diversity, and support physical and mental health (Kabisch et al., 2017; WHO, 2017). The Suwon case thus illustrates the tangible value of coordinated greening initiatives as integrated NbS that build more sustainable and resilient cities.
Declaration of Generative AI and AI-Assisted Technologies in the Writing Process
During the preparation of this work the authors used ChatGPT 5.0 in order to proofread the manuscript. After using this tool/service, the authors reviewed and edited the content as needed and take full responsibility for the content of the publication.
Notes
References
-
Abhijith KV, Kumar P, Gallagher J, McNabola A, Baldauf R, Pilla F, Broderick B, Di Sabatino S, Pulvirenti B. 2017. Air pollution abatement performances of green infrastructure in open road and built-up street canyon environments – A review. Atmos Environ 162: 71-86.
[https://doi.org/10.1016/j.atmosenv.2017.05.014]
- AirKorea. n.d. Particular matter seasonal management system; [accessed 2025 Aug 20]. https://www.airkorea.or.kr
-
Chen L, Liu C, Zhang L, Zou R, Zhang Z. 2017. Variation in tree species ability to capture and retain airborne fine particulate matter (PM2.5). Sci Rep 7: 3206.
[https://doi.org/10.1038/s41598-017-03360-1]
-
Chun B, Nguyen A, Hwang H-M, Majumdar S. 2024. Scenario-based statistical analysis for PM2.5 concentration: A case study of Seoul, South Korea. Environ Sci Pollut Res 31: 118845-118859.
[https://doi.org/10.1007/s11356-024-34523-6]
-
Drew CP, Jacob DJ, Oak YJ, Lee J, Kim M, Kim J, Lee S, Zhai S, Irie H, Liao H. 2025. A continuous 2011~2022 record of fine particulate matter (PM2.5) in East Asia at daily 2-km resolution from geostationary satellite observations: Population exposure and long-term trends. Atmos Environ 346: 121068.
[https://doi.org/10.1016/j.atmosenv.2025.121068]
-
Escobedo FJ, Kroeger T, Wagner JE. 2011. Urban forests and pollution mitigation: Analyzing ecosystem services and disservices. Environ Pollut 159(8-9): 2078-2087.
[https://doi.org/10.1016/j.envpol.2011.01.010]
-
Hilbert DR, Roman LA, Koeser AK, Vogt J, Van Doorn NS. 2019. Urban tree mortality: A literature review. Arboric Urban For 45(5): 167-200.
[https://doi.org/10.48044/jauf.2019.015]
-
IPCC. 2022. Climate change 2022: Impacts, adaptation and vulnerability. In: Pörtner H-O, Roberts DC, Tignor M, Poloczanska ES, Mintenbeck K, Alegría A, Craig M, Langsdorf S, Löschke S, Möller V, Okem A, Rama B (ed). Contribution of working group II to the sixth assessment report of the intergovernmental panel on climate change. Cambridge: Cambridge University Press.
[https://doi.org/10.1017/9781009325844]
-
IUCN. 2016. Nature-based solutions to address global societal challenges. Gland, Switzerland: IUCN.
[https://doi.org/10.2305/IUCN.CH.2016.13.en]
-
Janhäll S. 2015. Review on urban vegetation and particle air pollution—Deposition and dispersion. Atmos Environ 105: 130-137.
[https://doi.org/10.1016/j.atmosenv.2015.01.052]
-
Kabisch N, van den Bosch M, Lafortezza R. 2017. The health benefits of nature-based solutions to urbanization challenges for children and the elderly—A systematic review. Environ Res 159: 362-373.
[https://doi.org/10.1016/j.envres.2017.08.004]
-
Lee UJ. 2024. Spatiotemporal analysis of air pollutants and forest vegetation characteristics in Gangwon Province, South Korea. Front For Global Change 7: 1386985.
[https://doi.org/10.3389/ffgc.2024.1386985]
-
Lelieveld J, Evans JS, Fnais M, Giannadaki D, Pozzer A. 2015. The contribution of outdoor air pollution sources to premature mortality on a global scale. Nature 525(7569): 367-371.
[https://doi.org/10.1038/nature15371]
- Ministry of Environment (Korea). n.d. Source of particular matter; [accessed 2025 Aug 20]. https://www.air.go.kr
-
Nowak DJ, Hirabayashi S, Bodine A, Greenfield E. 2014. Tree and forest effects on air quality and human health in the United States. Environ Pollut 193: 119-129.
[https://doi.org/10.1016/j.envpol.2014.05.028]
-
Oak YJ, Jacob DJ, Pendergrass DC, Dang R, Colombi NK, Chong H, Lee S, Kuk SK, Kim J. 2025. Air quality trends and regimes in South Korea inferred from 2015–2023 surface and satellite observations. Atmos Chem Phys 25. (in press).
[https://doi.org/10.5194/acp-25-3233-2025]
-
Ossola A, Cadenasso ML, Meineke EK. 2021. Valuing the role of time in urban ecology. Front Ecol Evol 9: 653153.
[https://doi.org/10.3389/fevo.2021.653153]
-
Speak AF, Rothwell JJ, Lindley SJ, Smith CL. 2012. Urban particulate pollution reduction by four species of green roof vegetation in a UK city. Ecol Eng 47: 149-157.
[https://doi.org/10.1016/j.ecoleng.2012.06.004]
-
Vos PE, Maiheu B, Vankerkom J, Janssen S. 2013. Improving local air quality in cities: To tree or not to tree? Environ Pollut 183: 113-122.
[https://doi.org/10.1016/j.envpol.2012.10.021]
- WHO. 2013. Health effects of particulate matter: Policy implications for countries in Eastern Europe, Caucasus and Central Asia. Copenhagen: WHO Regional Office for Europe. https://iris.who.int/handle/10665/344854
- WHO. 2017. Urban green spaces: A brief for action. Copenhagen: WHO Regional Office for Europe. https://apps.who.int/iris/handle/10665/342642



