
시간단위 극치강우 상세화 및 AR6 시나리오 기반 IDF 곡선 산정
Abstract
Reliable planning for hydraulic and urban drainage under climate change requires station-scaled IDF(Intensity-Duration-Frequency) curves that represent future sub-daily extremes. We develop IDF projections for 60 stations across Korea using long-term observations and an ensemble of regional climate model outputs under SSP2-4.5. Sub-daily annual maxima(1–24 h) are generated from daily maxima via a conditional copula-based temporal downscaling scheme that treats the 24-h annual maximum as the conditioning variable. Multi-day(48, 72h) extremes are taken from bias-corrected series using quantile delta mapping, and frequency analysis applies the Gumbel distribution with probability-weighted moments. Changes are summarized by return period and three future time slices(2015–2040, 2041–2070, 2071–2100). The results indicate widespread amplification of design rainfall, with larger percentage increases for longer durations and rarer events, and with clear spatial heterogeneity—stronger signals along the eastern and southern coasts and more moderate responses over inland basins. The downscaling framework preserves the climate-change signal of the driving models while providing station-level, sub-daily estimates suitable for engineering application. These projections offer a consistent basis for updating rainfall design standards and reassessing flood risk in a warming climate. More broadly, the copula-based approach provides a practical pathway to translate daily climate scenarios into sub-daily extremes for adaptation planning, while highlighting the need to consider duration and return-period dependence, as well as regional variability, when revising design criteria.
Keywords:
IDF Curve, Conditional Copula, SSP Scenario, Temporal Downscaling1. 서론
기후변화가 가속화됨에 따라 전 세계적으로 극한 수문 현상이 빈발하고 있으며, 이로 인한 사회경제적 피해 또한 심화되고 있다. 특히 가뭄과 홍수 같은 극한사상의 빈도와 규모가 증가하면서, 수문학적 위험 관리에서 기후변화는 핵심적인 고려 요소로 부상하였다. 이러한 배경에서 국제사회와 각국 연구기관은 미래 수문학적 영향을 예측하기 위해 다양한 기후 시나리오를 활용하여 강수와 온도의 장래 변화를 정량적으로 분석하고(Peng et al., 2023), 극한 강수의 증가 가능성을 평가하며(Pierce et al., 2023), 홍수 위험의 계절적 변화를 전망하는 등(Di Sante et al., 2021) 기후변화에 따른 수문학적 위험을 종합적으로 평가하는 연구가 수행되고 있다. 국내에서도 기후변화가 수공구조물 안전성에 미치는 영향을 정량적으로 평가하려는 연구가 활발히 진행되어 왔으며(Chung et al., 2011; Kwon et al., 2005; Shon and Shin, 2010), 신뢰도 높은 극치 강우 시나리오를 구축하는 것은 관련 연구의 정확성을 담보하는 중요한 선결 과제로 인식되고 있다.
극한 강우는 단시간에 집중되는 특성으로 인해 댐, 제방, 배수시설 등 주요 수공구조물과 도시 기반시설의 설계 용량을 초과하여 막대한 피해를 유발하는 핵심적인 위험 요인이다. 따라서 극한 강우의 잠재적 위험도를 정량적으로 평가하기 위해서는 강우의 강도(Intensity), 지속시간(Duration), 발생 빈도(Frequency) 간의 통계적 관계에 대한 체계적인 분석이 필수적이다(Eagleson, 1972). 이러한 분석은 전통적으로 강우 빈도해석에 기반한 확률강우량이나 IDF (Intensity-Duration-Frequency) 곡선을 통해 수행되며(Koutsoyiannis et al., 1998), 이는 관측 자료를 바탕으로 다양한 지속시간과 재현기간에 대한 강우의 통계적 특성을 명확하게 제시한다.
그러나 기후변화로 강우 패턴의 비정상성(non-stationarity)이 심화되면서, 과거 관측자료에만 의존하는 전통적 빈도해석은 미래 극한 강우를 예측하는 데 명백한 한계를 드러낸다. Milly et al. (2008)은 기후변화로 인해 통상적인 정상성 가정이 더 이상 유효하지 않음을 지적하였으며, Lee et al. (2020)은 비정상성 빈도해석을 통해 관측 기반 분석 기법이 미래 강우 특성을 적절히 반영하지 못함을 보여주었다. 이러한 한계를 보완하기 위해 전지구 기후모델(GCMs) 예측자료를 기반으로 IDF 곡선을 산정하는 연구가 진행되어 왔으며(Martel et al., 2021; Schlef et al., 2023; Sung et al., 2023), 최근에는 비정상성 빈도해석과 Copula 함수를 활용한 강우의 의존구조 모형화(Suresh et al., 2023; Zhang et al., 2022) 등 다양한 연구가 수행되고 있다. 그러나 기존 연구들은 주로 일 단위 자료 분석이나 특정 지역에 국한되는 한계를 지니고 있으며, 본 연구에서는 Copula 기반 상세화 기법을 적용하여 기후모델 일 단위 자료를 시간 단위 극치 강우로 변환하고, 이를 활용해 미래 IDF 곡선을 산정하였다.
더 근본적인 제약은 다수의 기후모델이 시간 단위(sub-daily) 자료를 산출함에도 불구하고, 그 결과의 불확실성이 높아 수문학적 분석에 직접 활용하기 어렵다는 점이다(Wehner et al., 2021). 이러한 이유로, 현재 제공되는 대부분의 미래 기후변화 시나리오는 상대적으로 신뢰도가 확보된 일 단위 자료에 머무르고 있다. 그러나 실제 홍수나 도시 침수와 같은 수문학적 재해는 대부분 수 시간 이내의 단기 집중호우에 의해 촉발된다. 이러한 단기 극한 강우는 하천의 첨두유량을 급증시키고 수공구조물의 안정성을 위협하는 결정적 요인이기 때문이다. 따라서 미래 극한 강우의 수문학적 영향을 정밀하게 평가하기 위해서는, 일 단위 분석의 한계를 넘어 신뢰도 높은 시간 단위 강우 분석이 반드시 선행되어야 한다.
본 연구에서는 기상청 ASOS (Automated Synoptic Observing System) 지점의 관측 강우와 CMIP6 (Coupled Model Intercomparison Project, Phase 6) 기반 SSP 시나리오를 연계하여, 2100년까지의 미래 극한 강우 특성을 전망하는 IDF 곡선을 산정하고자 한다. 일 단위 기후모델 예측자료로부터 신뢰도 높은 시간 단위(1~24시간) 강우량을 생성할 수 있도록 관측된 24시간 극치 강우와 단시간(1~21시간) 극치 강우 간의 통계적 의존구조를 모형화하는 Copula 기반의 시간적 상세화 기법을 적용하였다. 이는 강우 발생이 지형적, 기상학적 요인에 의해 물리적으로 제약되기 때문에 지속시간별 강우 간 의존구조가 크게 변하지 않는다는 특성을 반영한 것이다(Genest et al., 2007). 이를 통해 관측 특성을 반영한 세부 강우 시계열을 구축하여 미래 단시간 극한 강우 특성 분석에 활용될 수 있으며, 장기 지속시간(48, 72시간)까지 분석 범위를 확장하여, 다양한 시간규모에 따른 미래 극한 강우의 변화를 종합적으로 평가하였다.
2. 연구 방법
본 연구에서는 기상청 ASOS 지점 중 관측 기간이 30년 이상 확보된 60개 지점을 대상으로 분석을 수행하였다. 모든 지점의 강우자료는 품질 검증을 거친 자료를 사용하여 데이터의 신뢰도와 분석 결과의 일관성을 확보하였다. 연구의 전체 절차는 Fig. 1에 제시되어 있으며, 분석에 활용된 관측 지점의 공간적 분포는 Fig. 2에 나타내었다. 이를 기반으로 조건부 Copula를 이용한 시간적 상세화 및 미래 IDF 곡선 산정 절차를 수행하였다. 구체적인 과정은 다음과 같다.
첫째, 관측기간에 대해서는 24시간 관측 극치강우량을 기준변수로, 미래기간에 대해서는 기후모델의 24시간 예측 극치강우량을 기준변수로 각각 설정하였다. Copula 기반의 조건부 분포를 이용하여 기준변수로부터 1, 3, 6, ⋯, 21시간의 단기 지속시간 극치강우량을 생성하였다. 이때 생성된 확률값들은 관측자료로부터 사전 추정된 Gumbel 분포의 매개변수를 이용해 강우량 단위로 역변환하였다.
둘째, 48시간 및 72시간 지속시간의 미래 극치강우량은 편의보정을 거친 QDM (Quantile Delta Mapping) 기후모델 자료를 직접 활용하였으며, 그 외 필요한 장기 지속시간 값은 선형보간법을 통해 추정하였다.
셋째, 위 과정들을 통해 확보된 미래의 지속시간별(1 ~ 72시간) 연최대 강우량 시계열을 구축하였다. 각 시계열에 Gumbel 분포를 적합하여 재현기간별 확률강우량을 산정하였으며, 이를 강우강도로 변환한 후 경험식에 적합하여 최종적인 미래 IDF 곡선을 도출하였다.
2.1. 확률분포 선정
극치강우량의 빈도해석에는 극치이론(Extreme Value Theory)의 Fisher–Tippett–Gnedenko 정리에 근거한 GEV (Generalized Extreme Value) 분포가 널리 활용된다(Fisher and Tippett, 1928). GEV 분포는 위치(μ), 척도(σ), 형상(ξ)의 세 모수로 정의되며, 이 중 형상모수(ξ)는 분포의 꼬리 부분을 결정하는 핵심 요소이다. 그러나 형상모수는 표본자료에 민감하여 불안정하게 추정될 수 있으며, 이로 인해 재현기간 100년 이상의 저빈도 극치사상에 대한 확률강우량이 과대 추정되거나 지점 간 일관성이 결여되는 문제가 꾸준히 제기되어 왔다(Coles et al., 2001; Katz et al., 2002). 국내 설계기준 역시 GEV 분포를 원칙으로 하되, 자료의 특성과 지역 여건을 고려하여 Gumbel 분포의 적용을 허용하고 있다(Ministry of Environment, 2019).
이러한 배경에서 본 연구는 GEV 분포의 형상모수가 갖는 불확실성을 배제하고 안정적인 극치값 추정이 가능한 Gumbel 분포를 채택하였다. Gumbel 분포는 형상모수(ξ)를 0으로 고정함으로써 꼬리 부분의 변동성을 제어하고, 특히 표본 크기가 작은 경우에도 강건한(robust) 확률강우량 산정이 가능한 장점이 있다(Hosking and Wallis, 1997). 분포의 모수 추정에는 확률가중모멘트법(Probability Weighted Moments, PWM)을 적용하였다. PWM은 이상치(outlier)에 대한 민감도가 낮고 소표본에서도 편향이 적어, 최대우도법이나 최소자승법에 비해 안정적인 매개변수 추정이 가능한 것으로 알려져 있다(Stedinger et al., 1993).
2.2. 조건부 Copula 모형
강우의 지속시간별 극치값들은 상호 간에 밀접한 상관성을 보이며, 이러한 의존성은 단순한 선형 상관계수만으로 정확히 표현하기 어렵다. 특히 두 변수가 동시에 극단적인 값을 갖는 꼬리 의존성은 기존의 공분산 기반 접근법으로는 포착하기 힘든 비선형적 구조를 가진다. 이러한 한계를 극복하기 위해, 본 연구에서는 각 변수의 주변분포와 이들 간의 의존 구조를 분리하여 모델링할 수 있는 Copula 함수를 활용하였다. Copula 함수는 Sklar (1959)의 정리에 기반하며, 각 변수의 분포 형태에 제약 없이 다양한 비선형적 상관구조와 꼬리 의존성을 유연하게 모델링할 수 있어 수문 및 기후 분야에서 널리 적용되고 있다(Genest et al., 2007; Nelsen, 2006).
본 연구에서는 특정 지속시간의 극치강우량이 주어졌을 때, 다른 지속시간의 극치강우량을 추정하기 위해 조건부 Copula (Conditional Copula) 개념을 도입하였다(Kao and Govindaraju, 2008). 구체적으로, 24시간 극치강우량을 기준변수(Y)로 설정하고, 24시간 미만의 단기 지속시간 극치강우량을 종속변수(X)로 정의하였다. 식 (1)은 기준변수의 확률값(v)이 주어졌을 때 종속변수의 확률값(u)을 추정하는 조건부 누적분포함수(CDF)를 나타낸다.
| (1) |
여기서 u = FX(x)와 v = FY(y)는 각 변수의 주변분포를 이용해 산정된 누적확률값이다. 본 연구는 이 관계를 이용하여 알려진 24시간 극치강우량(v)으로부터 미지의 단시간 극치강우량(u)을 추정하였다.
Copula 함수는 크게 대칭적 의존 구조를 모델링하는 Elliptical 계열과 비대칭적 구조에 적합한 Archimedean 계열로 분류된다. Elliptical 계열의 대표적인 Gaussian 및 Student's t-Copula는 변수 간 대칭성을 가정하므로, 강우 사상처럼 상부 또는 하부 꼬리에서 비대칭적 의존성이 강하게 나타나는 극치 현상을 모의하는 데는 한계가 있다. 반면, Archimedean 계열의 Clayton, Frank, Gumbel Copula 등은 구조가 간결하면서도 다양한 형태의 비대칭적 의존 구조를 유연하게 모델링할 수 있는 장점이 있다. 특히, Clayton은 하부 꼬리(low-flow), Gumbel은 상부 꼬리(high-flow) 의존성 포착에 뛰어나 수문학적 극치 현상 분석에 널리 활용된다.
따라서 본 연구에서는 극치강우량 간의 비대칭적 꼬리 의존성을 효과적으로 반영하기 위해 Archimedean 계열의 Clayton, Frank, Gumbel Copula를 후보 모형으로 선정하였으며, 각 모형의 일반식은 Table 1에 제시하였다. 지속시간별 연최대강우량을 각 Copula 분포를 적합하여 누적확률로 변환한 후, 대수우도(Log-Likelihood) 값을 기준으로 최적 모형을 판별하였다. 최종적으로 선정된 Copula의 조건부분포를 기반으로 단시간(1 ~ 21시간) 극치강우를 산정하였다.
본 연구에서는 식 (1)의 조건부 분포를 추정하기 위해 이변량 Archimedean Copula를 적용하였다. Archimedean Copula로부터 조건부 분포를 유도하는 과정은 생성함수(generator function, ϕ)를 통해 이루어지며, 그 일반식은 식 (2)와 같다.
| (2) |
여기서 C(u,v)는 결합분포함수, c(u,v)는 조건부 분포함수를 의미한다. ϕ는 각 Copula 모형의 고유한 특성을 정의하는 생성함수이며, ϕ-1와 ϕ΄는 각각 ϕ의 역함수와 1차 도함수를 나타낸다. u와 v는 각각 종속변수(X)와 기준변수(Y)의 주변 누적분포함수(FX(x), FY(y))를 통해 변환된 확률값이다. 본 연구에서 고려한 Clayton, Frank, Gumbel Copula별 구체적인 생성함수의 형태는 Table 2에 정리하였다.
Archimedean Copula의 조건부 분포는 generator 함수와 그 도함수를 이용하여 유도될 수 있다. 본 연구에서는 식 (1)의 조건부 Copula 식을 v에 대해 편미분하여 조건부 Archimedean Copula를 도출하였으며, 그 결과는 식 (3)과 같이 나타난다. 식 (3)은 일반적으로 h-함수라 불린다.
| (3) |
조건부 Copula를 통해 얻고자 하는 변수 u는 식 (4)와 같이 h-함수의 역함수를 이용하여 산정된다. 본 연구에서는 조건부 Copula의 기본 구조와 Archimedean 계열의 일반식만을 다루었으며, 구체적인 유도 절차와 h-함수의 전개 과정은 Kim et al. (2016)에 상세히 제시되어 있다.
| (4) |
2.3. IDF 곡선 산정
본 연구에서는 앞서 Copula 모형을 통해 산정된 미래의 지속시간별 극치강우 시계열을 이용하여 IDF 곡선을 구축하였다. 먼저, 각 지속시간(d)별로 연최대 강우량(Annual Maximum Precipitation, AMP) 계열을 구성하고 Gumbel 분포를 적합하여 위치(μd) 및 척도(σd) 매개변수를 추정하였다. 추정된 매개변수를 이용하여 특정 재현기간(T)에 대한 확률강우량(Qd(T))을 식 (5)와 같이 산정하였다.
| (5) |
여기서 p는 재현기간 T에 해당하는 비초과확률이다. 산정된 확률강우량(Qd(T))은 해당 지속시간(d)으로 나누어 강우강도(Id(T))로 변환하였다.
이렇게 산정된 강우강도는 개별 지속시간에 대한 이산적인(discrete) 값이므로, 임의의 지속시간에 대한 강우강도를 추정할 수 있도록 연속적인 함수 형태로 일반화할 필요가 있다. 이를 위해 본 연구에서는 식 (6)과 같은 형태의 경험식을 적용하여 재현기간별 IDF 곡선을 도출하였다.
| (6) |
식 (6)은 Bernard (1932)에 의해 초기 형태가 제안된 이후 수문학 분야에서 널리 사용되어 온 Koutsoyiannis et al. (1998) 유형의 공식이다. 국내 연구(Kim et al., 2018; Yoo et al., 2016) 및 설계 실무(Ministry of Environment, 2019)에서도 그 적합성이 검증되어 널리 활용되고 있다.
3. 적용 결과
3.1. 기후모델
본 연구에서는 5종의 지역기후모델(Regional Climate Model, RCM) 산출물을 활용하였다. 분석에 사용된 RCM은 HadGEM3-RA, CCLM, WRF, RegCM, GRIMs이며, 모두 수평해상도 약 25 km로 동아시아 영역에 대해 상세화된 결과이다. 이 RCM들은 영국 기상청의 전지구 기후모델인 UKESM1 (UK Earth System Model)의 결과를 경계조건으로 사용하여 역학적 상세화를 수행하였다. 모든 모델이 동일한 경계조건(6시간 간격, 37개 연직층)을 공유하므로, 개별 RCM 결과 간의 비교·분석에 일관성을 확보하였다.
모의 기간은 관측 재현성을 평가하기 위한 역사실험(1979 ~ 2014년)과 미래 전망을 위한 시나리오 실험(2015 ~ 2100년)으로 구성된다. 미래 기후변화 시나리오는 IPCC 6차 평가보고서(AR6)에서 제시된 4종의 공유사회경제경로(SSP1-2.6, SSP2-4.5, SSP3-7.0, SSP5-8.5)를 모두 적용하였다. 또한, 이 5종의 RCM은 국내 기상청에서 국가 표준 기후변화 시나리오로 제공하며 정책 연구 등에 활용하고 있어, 국내 기후 특성 모의에 대한 신뢰도가 높다. 본 연구에서는 격자 형태의 RCM 자료를 지점 기반의 ASOS 관측자료와 비교하기 위해, 각 ASOS 지점 위치에 가장 인접한 격자의 시계열 자료를 추출하여 활용하였다.
3.2. 지속시간별 연최대 강수량 재현성 평가
Fig. 3은 수원지점에서 산정된 24시간 연최대 강수량을 기준으로, 1 ~ 21시간 연최대 강수량과의 관계를 제시한 것이다. Fig. 3(c) ~ Fig. 3(h)와 같이 지속시간이 길어질수록 점들이 직선형태로 밀집되면서 상관성이 높아지며, 상관계수는 6시간에서 0.85, 21시간에서 0.99로 점진적으로 증가한다. 반면 Fig. 3(a)와 Fig. 3(b)과 같이 짧은 지속시간(1 ~ 3시간)에서는 분산이 크게 나타나고, 상관계수도 각각 0.56과 0.72로 상대적으로 낮게 나타난다. 이러한 차이는 24시간 극치강우를 단시간 극치강우로 단순 변환할 경우 오차가 발생할 수 있음을 보여주며, 지속시간이 짧을수록 예측의 불확실성이 확대될 수 있음을 시사한다. 이러한 불확실성을 정량적으로 다루기 위해서는 두 변수 간 결합 구조를 적절히 반영할 수 있는 통계적 기법이 필요하다. 본 연구에서 적용한 copula 모형은 두 변량 간 의존성을 반영하여 불확실성을 고려할 수 있는 장점을 가지며, 이에 대한 세부 내용은 2.2장에서 서술하였다.
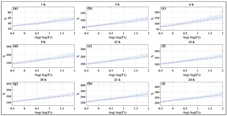
다음으로, 빈도해석과 Copula의 주변분포로 사용할 확률분포형을 결정하기 위해 Gumbel 분포의 적합성을 평가하였다. Fig. 4는 수원지점의 지속시간별 극치강수량 표본을 Gumbel 확률지에 도시한 결과로, Fig. 4(c)의 지속시간 6시간에서는 분위 일부에서 이론선 대비 편차가 확인되지만, 그 외 지속시간에서는 극한강우량 관측치가 90% 신뢰구간 내에 위치하며 이론적 분포를 잘 따르는 것을 보여준다. 정량적인 적합성 검정 결과 역시 유의수준 5%를 만족하여, Gumbel 분포를 재현기간 산정 및 조건부 Copula의 주변분포로 채택하는 것이 타당함을 확인하였다.
본 연구에 적용할 최적 Copula 모형은 기준기간(historical period) 관측자료를 이용하여 선정하였다. 먼저, 각 지속시간별(24시간 및 단시간) 극치강우 계열에 Gumbel 주변분포를 적합시킨 후, 이를 이용해 산정된 누적확률값을 Archimedean 계열의 Clayton, Frank, Gumbel Copula에 각각 적용하였다. 최적 모형은 모형의 설명력을 나타내는 대수우도(Log-Likelihood) 값을 기준으로 판별하였으며, Table 3은 4개의 대표 지점에 대한 평가 결과를 보여준다.
60개 전체 지점에 대한 분석 결과, Gumbel Copula가 가장 높은 빈도로 최적 모형으로 선정되었다. 일부 하천 상류 유역에서는 하부 꼬리 의존성 모델링에 강점이 있는 Clayton Copula가, 극히 일부 지점에서는 Frank Copula가 선택되었다. 지점에 따라 후보 모형 간 대수우도 값의 차이가 크지 않은 경우도 있었으나, 본 연구에서는 전반적인 적합도와 지역적 일관성을 고려하여 Gumbel Copula를 모든 지점에 적용하는 단일 모형으로 최종 결정하였다. 이에 따라 이후의 시간적 상세화 및 미래 IDF 곡선 산정은 Gumbel Copula를 기반으로 수행하였다.
개발된 조건부 Copula 모형의 적용성을 검증하기 위해, 기준기간의 관측자료를 대상으로 모의실험을 수행하였다. 앞서 선정된 Gumbel Copula와 Gumbel 주변분포를 이용하여 지속시간별 극치강수량 시계열을 무작위로 생성한 후, 이를 관측된 극치강수량의 확률밀도함수와 비교하였다. Fig. 5는 4개 대표 지점에 대한 비교 결과를 보여준다.
그림에서 볼 수 있듯, 모의된 강수량의 분포는 관측값의 분포와 매우 유사했으며, 평균 및 분산 등 주요 통계치에서도 유의미한 차이가 발견되지 않았다. 다만 지속시간 6시간과 12시간의 춘천지점에서는 첨두와 상단 꼬리에서 관측–모의 간 차이가 일부 관찰되었다. 그 외 수원, 대전, 금산 세 지점에서는 분포 형태와 규모가 전반적으로 일치하고, 분포의 꼬리 부분에 해당하는 극치값 재현에서도 체계적인 편의가 확인되지 않았다. 이러한 검증 결과를 통해 본 모형이 미래 SSP 시나리오 분석에 적용하기에 충분한 신뢰도와 재현성을 갖추었음을 입증하였고, 동일한 절차를 미래기간 분석에 적용하였다.
3.3. IDF 산정 결과
본 연구에서는 전국 60개 ASOS 지점에 대해 조건부 Copula 기반의 미래 IDF 곡선을 산정하였다. 분석 결과의 효율적인 제시를 위해, 본문에서는 한강(소양강, 탄천) 및 금강 유역에 위치한 4개 대표 지점(수원, 춘천, 대전, 금산)의 결과를 중심으로 서술하였다. 이 지점들은 각 유역의 극치강우 변화 특성을 대표하는 사례이며, 분석에 포함된 모든 지점은 동일한 절차를 통해 분석되었다. 미래 극한 강우의 시기별 변화를 단계적으로 분석하기 위해, 미래 기간을 가까운 미래(S1: 2015 ~ 2040), 중기 미래(S2: 2041 ~ 2070), 후기 미래(S3: 2071 ~ 2100)의 세 구간으로 구분하였다. 각 지점의 재현기간별(2, 10, 30, ⋯, 500년) 상세한 확률강우량 산정 결과는 Table 4와 Table 5에 제시하였다.
미래 IDF 곡선 산정을 위해, 먼저 일 단위 SSP2-4.5 시나리오 자료를 조건부 Copula 모형에 적용하여 시간 단위 극치강우 시계열을 생성하였다. 이 과정에서 기준기간에서 추정된 강우의 지속시간별 결합 구조가 미래에도 유지된다고 가정하였으며, 각 변수의 주변분포는 Gumbel 분포를 따랐다. 생성된 시간 단위 극치강우에 빈도해석을 적용하여 재현기간별 미래 설계강우량을 산정하였다.
미래 설계강우량의 변화를 다각적으로 분석하기 위해, 본 연구에서는 공간적 분포 특성과 지점별 정량적 변화율을 함께 제시하였다. 첫째, 6시간 및 12시간 지속시간에 대한 설계강우량의 절대적인 변화량(ΔP, mm)을 미래 시기별로 지도에 도시하여, 변화의 공간적 패턴과 핵심 지역을 시각적으로 파악할 수 있도록 하였다. 둘째, 대표 지점별로 재현기간에 따른 변화율(%)을 표로 정리하여, 설계 실무에서 구체적인 변화 폭을 정량적으로 참고할 수 있는 정보를 제공하였다. 이러한 시각적·수치적 정보의 통합은 설계 기준 검토 시 지속시간과 재현기간에 따른 변화의 영향을 구체화하는 데 효과적이다.
Fig. 6과 Fig. 7은 SSP2-4.5 시나리오에서 산정된 6시간 및 12시간 설계강우량의 미래 변화량을 재현기간과 미래 시기별로 보여준다. 분석 결과, 미래 극한 강우는 다음과 같은 뚜렷한 경향성을 보였다. 첫째, 재현기간의 규모가 클수록(예: 30년 → 200년) 미래 강우량의 증가 폭이 더욱 확대되었다. 이는 저빈도 극한사상의 강도가 미래에 더 민감하게 반응할 수 있음을 시사한다. 둘째, 시간의 흐름(S1 → S3)에 따라 강우량 증가 신호가 전국적으로 뚜렷해지고 강화되는 패턴이 나타났다. 셋째, 동일 재현기간에서는 6시간 강우량의 절대적인 변화량이 12시간보다 크게 나타나, 상대적으로 장기 지속시간의 강우 패턴 변화가 더 클 수 있음을 보여준다. 넷째, 공간 분포에서는 동해안(영동권)과 남해안(부산·경남, 전남 해안) 및 제주도에서 증가율이 상대적으로 크게 나타났고, 중서부 내륙(충청·경기 내륙)에서는 증가 신호가 완만하였다. 또한 일부 영남 내륙 산지에서 국지적 고강도 신호가 나타났으며, 이러한 패턴은 6시간 강우량과 12시간 강우량에서 대체로 유사하게 나타나는 것을 확인하였다.
Spatial distribution of the absolute change (mm) in 6-hour design rainfall for various return periods across three future periods under the SSP2-4.5 scenario
Spatial distribution of the absolute change (mm) in 12-hour design rainfall for various return periods across three future periods under the SSP2-4.5 scenario
본 연구에서 산출된 SSP 시나리오 기반의 미래 극치강우량에 Gumbel 분포를 적용하여 재현기간별 확률강우량을 추정하였다. Table 4 ~ Table 6은 4개 지점(수원, 춘천, 대전, 금산)에 대해 6시간 및 12시간 지속기간에서 산정된 재현기간별 극한강우량의 변화율을 대표로 제시하였으며, 변화율은 모델 기준기간(historical) 대비 미래기간(future)을 기준으로 계산하였다. 이는 기후모델의 역사기간과 미래기간 강우량이 동일한 모의 체계에서 산출된 모의 결과이므로 상호 비교가 타당하기 때문이다.
분석 결과, 미래로 갈수록(S1 → S2 → S3) 대부분의 지점에서 확률강우량이 기준기간 대비 점진적으로 증가하는 경향이 공통적으로 나타났다. 이러한 증가 경향은 특정 지점에서 더욱 두드러졌는데, 대표적으로 대전 지점의 경우 12시간 지속시간 강우량이 중기 및 후기 미래(S2, S3)의 장기 재현기간(50년 이상)에서 기준기간 대비 90% 이상의 높은 증가율을 보였다. 특히 12시간 지속시간 강우량은 중기 및 후기 미래(S2, S3) 모두 증가율이 90%를 초과하는 등, 미래 극한 강우의 강도와 규모가 현저히 증폭될 수 있음을 시사한다.
반면, 춘천과 금산 지점에서는 강우량 증가 폭이 상대적으로 완만하거나 특정 미래 구간에서 정체되는 등 지역적 편차도 일부 관찰되었다. 하지만 이러한 지역적 차이에도 불구하고, 모든 지점에서 미래로 갈수록 극한 강우가 강화된다는 일관된 방향성은 명확하게 나타났다.특히 주목할 점은, 본 연구의 상세화를 통해 산출된 강우량의 시기별 증감 패턴이 기후모델 원자료(raw data)의 경향성과 유사하게 유지된다는 것이다. 이는 본 연구에서 적용한 조건부 Copula 기반 상세화 기법이 원자료의 기후변화 신호(climate change signal)를 왜곡 없이 효과적으로 보존하고 있음을 방증한다. 결론적으로, 이러한 결과는 현재의 관측 기반 IDF 곡선에만 의존하여 미래 수공구조물을 설계하거나 홍수 위험도를 평가할 경우, 기후변화로 인해 증폭될 극한 강우의 잠재적 위험을 심각하게 과소평가할 수 있다는 점을 강력히 시사한다.
4. 결론
본 연구에서 제시한 지점별 IDF 곡선과 변화 요약 표는 설계강우 갱신과 기후적응형 설계 검토에 직접 활용될 수 있다. 과거 관측 기반 IDF만을 적용할 경우 미래 극치강우 위험이 낮게 평가될 소지가 있으므로, 본 연구의 시기별 IDF를 설계와 운영 기준에 반영하는 것이 바람직하다. 본 연구의 결과는 의존구조의 정상성 가정과 기후모델의 공간 상관이 고려되지 않아 이를 보완하기 위한 향후 과제로는 의존구조의 시간 변화를 고려한 비정상성 확장, SSP 경로의 확대 비교, 공간 상관을 반영한 지역화 절차의 고도화, 수문·수리 모형과의 연계를 통한 유출·저류·배수 체계로의 파급효과 정량화가 있다. 이러한 보완을 통해 지점 기반 IDF는 기후변화 적응과 수자원 관리의 핵심 자료로 기능할 수 있다.
본 연구는 조건부 Copula 기반의 시간적 상세화 기법과 Gumbel 빈도해석을 연계하여, 일 단위 기후변화 시나리오로부터 시간 단위 극치강우 계열을 생성하고, 이를 바탕으로 전국 60개 지점의 미래 IDF 곡선을 산정하는 통합적 방법론을 제시하였다. 24시간 연최대강우량을 기준변수로 단시간 극치강우를 통계적으로 연계하고, 편의보정된 장기 지속시간(48, 72시간) 강우 자료로 보완함으로써, SSP2-4.5 시나리오에 대한 시기별·재현기간별 미래 설계강우량을 일관된 체계 내에서 산정할 수 있었다.
제안된 방법론의 신뢰성은 기준기간 자료에 대한 검증을 통해 확보하였다. Gumbel 분포는 지속시간별 연최대강우 계열에 높은 적합도를 보였으며, Copula 기반의 상세화 기법은 단기 지속시간에서 나타나는 큰 변동성을 효과적으로 제어하고 안정적인 의존 구조를 구현하였다. 특히, 대수우도 값을 기준으로 지점별 관측소 Copula 모형(주로 Gumbel, 일부 Clayton)을 개별적으로 적용함으로써, 강우의 지역적 의존 특성을 분석 과정에 반영하였다. 모의실험 결과, 생성된 극치강우 계열은 관측치의 분포 및 주요 통계량을 체계적 편의 없이 재현하여, 본 모형이 미래 빈도해석을 위한 입력자료로 충분한 적절성을 갖추었음을 확인하였다.
미래 변화 평가에서는 모든 미래 기간(2015 ~ 2100년)에 걸쳐 극한 강우가 강화되는 뚜렷한 경향이 나타났다. 특히 재현기간이 길어질수록, 그리고 시간이 후기 미래로 진행될수록 강우량의 증가 폭이 확대되는 패턴을 보였다. 이러한 변화의 공간적 분포(지도)와 지점별 정량적 변화율(표) 분석은, 미래 설계강우량 산정 시 지속시간과 재현기간 특성을 반드시 함께 고려해야 한다는 점을 명확히 보여준다.
본 연구의 결과물인 지점별 미래 IDF 곡선과 변화 요약 정보는, 기후변화에 대응하는 수공구조물의 적응형 설계 기준을 수립하고 기존 시설의 위험도를 재평가하는 데 핵심적인 기초자료로 직접 활용될 수 있다. 이는 현재의 관측 기반 설계 기준만으로는 미래의 증폭된 강우 위험을 심각하게 과소평가할 수 있다는 본 연구의 결론에 근거한다. 향후 본 연구는 의존 구조의 비정상성(non-stationarity)을 고려한 모델 확장, 다양한 SSP 시나리오 간의 불확실성 비교, 공간 상관성을 고려한 지역화 기법 고도화, 그리고 수문·수리 모형과 연계한 파급효과 정량화 등의 과제를 통해 기후변화 적응을 위한 핵심 정보로서의 가치를 더욱 높일 수 있을 것이다.
Acknowledgments
본 결과물은 환경부의 재원으로 한국환경산업기술원의 가뭄대응 물관리 혁신 기술개발사업의 지원을 받아 연구되었습니다(과제번호: 2480000378).
References
-
Bernard MM. 1932. Formulas for rainfall intensities of long duration. Tran American Soc Civ Eng 96(1): 592-606.
[https://doi.org/10.1061/TACEAT.0004323]
-
Chung G, Jeon M, Kim H, Kim T-W. 2011. Adaptation capability of reservoirs considering climate change in the han river basin, South Korea (in Korean with English abstract). KSCE J Civ Environ Eng Res 31(5B): 439-447.
[https://doi.org/10.12652/ksce.2011.31.5b.439]
-
Coles S, Bawa J, Trenner L, Dorazio P. 2001. An introduction to statistical modeling of extreme values. London, UK: Springer.
[https://doi.org/10.1007/978-1-4471-3675-0]
-
Di Sante F, Coppola E, Giorgi F. 2021. Projections of river floods in europe using euro-cordex, cmip5 and cmip6 simulations. Int J Climatol 41(5): 3203-3221.
[https://doi.org/10.1002/joc.7014]
-
Eagleson PS. 1972. Dynamics of flood frequency. Water Resour Res 8(4): 878-898.
[https://doi.org/10.1029/WR008i004p00878]
-
Fisher RA, Tippett LHC. 1928. Limiting forms of the frequency distribution of the largest or smallest member of a sample. Math Proc Cambridge Philos Soc 24(2): 180-190.
[https://doi.org/10.1017/S0305004100015681]
-
Genest C, Favre AC, Béliveau J, Jacques C. 2007. Metaelliptical copulas and their use in frequency analysis of multivariate hydrological data. Water Resour Res 43(9): W09401.
[https://doi.org/10.1029/2006WR005275]
-
Hosking JRM, Wallis JR. 1997. Regional frequency analysis. Cambridge, UK: Cambridge University Press.
[https://doi.org/10.1017/CBO9780511529443]
-
Kao SC, Govindaraju RS. 2008. Trivariate statistical analysis of extreme rainfall events via the plackett family of copulas. Water Resour Res 44(2): W02415.
[https://doi.org/10.1029/2007WR006261]
-
Katz RW, Parlange MB, Naveau P. 2002. Statistics of extremes in hydrology. Adv Water Resour 25(8-12): 1287-1304.
[https://doi.org/10.1016/S0309-1708(02)00056-8]
-
Kim J-Y, Park C-Y, Kwon H-H. 2016. A development of downscaling scheme for sub-daily extreme precipitation using conditional copula model (in Korean with English abstract). J Korea Water Resour Assoc 49(10): 863-876.
[https://doi.org/10.3741/JKWRA.2016.49.10.863]
-
Kim Y-T, Lee M-S, Chae B-S, Kwon H-H. 2018. A development of summer seasonal rainfall and extreme rainfall outlook using bayesian beta model and climate information (in Korean with English abstract). KSCE J Civ Environ Eng Res 38(5): 655-669.
[https://doi.org/10.12652/Ksce.2018.38.5.0655]
-
Koutsoyiannis D, Kozonis D, Manetas A. 1998. A mathematical framework for studying rainfall intensity-duration-frequency relationships. J Hydrol 206(1-2): 118-135.
[https://doi.org/10.1016/S0022-1694(98)00097-3]
-
Kwon H-H, Moon Y-I, Choi B-G, Yoon Y-N. 2005. Optimum size analysis for dam rehabilitation using reliability analysis (in Korean with English abstract). J Korea Water Resour Assoc 38(2): 97-110.
[https://doi.org/10.3741/JKWRA.2005.38.2.097]
-
Lee O, Choi J, Won J, Kim S. 2020. Uncertainty in nonstationary frequency analysis of south korea's daily rainfall peak over threshold excesses associated with covariates. Hydrol Earth Syst Sci 24(11): 5077-5093.
[https://doi.org/10.5194/hess-24-5077-2020]
-
Martel J-L, Brissette FP, Lucas-Picher P, Troin M, Arsenault R. 2021. Climate change and rainfall intensity–duration–frequency curves: Overview of science and guidelines for adaptation. J Hydrol Eng 26(10): 03121001.
[https://doi.org/10.1061/(ASCE)HE.1943-5584.0002122]
-
Milly PC, Betancourt J, Falkenmark M, Hirsch RM, Kundzewicz ZW, Lettenmaier DP, Stouffer RJ. 2008. Stationarity is dead: Whither water management? Science 319(5863): 573-574.
[https://doi.org/10.1126/science.1151915]
- Ministry of Environment. 2019. Standard guidelines for flood estimation. Sejong: Ministry of Environment.
-
Nelsen RB. 2006. An introduction to copulas, 2nd edn. New York: Springer.
[https://doi.org/10.1007/0-387-28678-0]
-
Peng S, Wang C, Li Z, Mihara K, Kuramochi K, Toma Y, Hatano R. 2023. Climate change multi-model projections in cmip6 scenarios in central Hokkaido, Japan. Sci Rep 13(1): 230.
[https://doi.org/10.1038/s41598-022-27357-7]
-
Pierce DW, Cayan DR, Feldman DR, Risser MD. 2023. Future increases in North American extreme precipitation in cmip6 downscaled with loca. J Hydrometeorol 24(5): 951-975.
[https://doi.org/10.1175/JHM-D-22-0194.1]
-
Schlef KE, Kunkel KE, Brown C, Demissie Y, Lettenmaier DP, Wagner A, Wigmosta MS, Karl TR, Easterling DR, Wang KJ. 2023. Incorporating non-stationarity from climate change into rainfall frequency and intensity-duration-frequency (idf) curves. J Hydrol 616: 128757.
[https://doi.org/10.1016/j.jhydrol.2022.128757]
- Shon TS, Shin HS. 2010. Analysis for precipitation trend and elasticity of precipitation-streamflow according to climate changes (in Korean with English abstract). KSCE J Civ Environ Eng Res 30(5B): 497-507.
- Sklar M. 1959. Fonctions de répartition à n dimensions et leurs marges. Publications de l’Institut de Statistique de l’Université de Paris. 8: 229-231.
- Stedinger JR, Vogel RM, Foufoula-Georgiou E. 1993. Frequency analysis of extreme events. In: Maidment DR (ed). Handbook of hydrology. New York: McGraw-Hill. p. 18.1-18.66.
-
Sung JH, Kang DH, Seo Y-H, Kim BS. 2023. Analysis of extreme rainfall characteristics in 2022 and projection of extreme rainfall based on climate change scenarios. Water 15(22): 3986.
[https://doi.org/10.3390/w15223986]
-
Suresh A, Pekkat S. 2023. Importance of copula-based bivariate rainfall intensity-duration-frequency curves for an urbanized catchment incorporating climate change. J Hydrol Eng 28(7): 05023012.
[https://doi.org/10.1061/JHYEFF.HEENG-5577]
-
Wehner M, Lee J, Risser M, Ullrich P, Gleckler P, Collins WD. 2021. Evaluation of extreme sub-daily precipitation in high-resolution global climate model simulations. Philos Tran R Soc A. 379(2195): 20190545.
[https://doi.org/10.1098/rsta.2019.0545]
-
Yoo C, Park C, Jun C. 2016. Evaluation of the concept of critical rainfall duration by bivariate frequency analysis of annual maximum independent rainfall event series in Seoul, Korea. J Hydrol Eng 21(1): 05015016.
[https://doi.org/10.1061/(ASCE)HE.1943-5584.0001259]
-
Zhang B, Wang S, Moradkhani H, Slater L, Liu J. 2022. A vine copula-based ensemble projection of precipitation intensity-duration-frequency curves at sub-daily to multi-day time scales. Water Resour Res 58(11): e2022WR032658.
[https://doi.org/10.1029/2022WR032658]






