The Korean Society of Climate Change Research
[ Article ]
Journal of Climate Change Research - Vol. 17, No. 1, pp.1-15
ISSN: 2093-5919 (Print) 2586-2782 (Online)
Print publication date 28 Feb 2026
Received 26 Sep 2025 Revised 07 Nov 2025 Accepted 30 Jan 2026
DOI: https://doi.org/10.15531/KSCCR.2026.17.1.001

에너지효율 자원의 회피발전비용 산정

신희영* ; 홍종호**,
*서울대학교 환경대학원 박사수료
**서울대학교 환경대학원 교수
Evaluating the avoided generation costs of energy efficiency resources
Shin, Heeyoung* ; Hong, Jong Ho**,
*Ph.D. Candidate, Graduate School of Environmental Studies, Seoul National University, Seoul, Korea
**Professor, Graduate School of Environmental Studies, Seoul National University, Seoul, Korea

Correspondence to: hongjongho@snu.ac.kr (Seoul National University 82-dong, Gwanak-ro-1, Gwanak-gu, Seoul, 08826, Korea. Tel. +82-2-880-5641)

Abstract

Energy efficiency policies are traditionally evaluated based on lifetime energy savings and initial costs, often overlooking the broader benefits. This study evaluates the avoided costs of energy efficiency from a long-term system perspective to ensure a more accurate assessment of end-use electricity savings. Utilizing LEAP (Low Emissions Analysis Platform), a scenario-based energy system modeling tool, and aligning with South Korea’s 11th Basic Plan for Electricity Supply and Demand (2024–2038), we apply a 12-month, 24-hour time resolution to capture the critical impacts of peak loads and the increasing penetration of renewable energy. We construct two counterfactual scenarios where demand-side management does not take place; additional electricity demand is supplied through either solar PV or gas generation. Our findings reveal that when demand-side targets are met, the average annual generation cost in 2038 is 124.8 KRW/kWh. The average avoided cost in 2038 is 148.5 KRW/kWh and 180.8 KRW/kWh for the two counterfactuals. Analysis shows that with increasing penetration of renewables, the range of hourly avoided costs increases. Energy savings can offset expensive marginal generation costs during peak hours and avoid the costs of building new capacity needed to meet increasing demand. These results demonstrate that the economic value of efficiency resources should be evaluated based on hourly avoided generation costs. Furthermore, the rising share of renewables shifts the hours with the highest avoided cost, making granular hourly estimates essential for capturing the true value of efficiency resources in sustainable power system planning.

Keywords:

Energy Efficiency Resource, Avoided Cost of Generation, Hourly Generation Cost, Energy System Modeling

1. 서론

탄소중립과 에너지전환이 시급한 국가 과제로 대두된 상황에서 에너지효율 자원의 중요성이 더욱 커지고 있다. 에너지효율은 ‘제1의 에너지원’이자 가장 비용효과적 수단이다(IEA, 2024a). 국내에서는 제3차 에너지기본계획(MOTIE, 2019), 제11차 전력수급기본계획(MOTIE, 2025), 제6차 에너지이용합리화기본계획(Joint Ministries, 2020)에서 에너지효율 정책의 역할을 구체적으로 제시하고 있다. 2030 국가 온실가스 감축목표(NDC) 상향안(Joint Ministries, 2021a), 2050 탄소중립 시나리오안(Joint Ministries, 2021b), 탄소중립녹색성장기본법 등에서도 에너지효율은 탄소배출을 감축하는 핵심 수단으로 평가받고 있다. 2050 탄소중립이라는 목표에 합당한 수준으로 에너지효율 자원을 관리하기 위해 정계와 학계, 기업과 시민사회가 힘을 모아야 할 시점이다.

에너지효율 자원에 대한 적극적인 투자가 이루어지려면 경제성 평가가 합리적으로 이루어져야 한다. 하지만 에너지공단의 현행 목표설정 및 사업평가 가이드라인은 예산집행액 및 에너지 절감량에 초점이 맞춰져 있다(KEA, 2024a). 에너지효율을 하나의 자원으로 인식하기 위한 첫 단추로 에너지효율도 여타 발전원과 마찬가지로 사업 단위에서 경제성을 평가해야 한다. 평가, 모니터링 및 검증(evaluation, monitoring, & verification) 과정 전반을 개선하기 위한 지속적인 노력이 필요할 것이고, 그 과정 중 효율 자원의 편익산정을 위해 에너지 시스템 차원의 회피발전비용에 대한 기초분석이 필요하다.

전력효율 사업은 회피한 전력비용 이외에도, 계통한계가격을 낮추고 발전원의 추가 증설 회피로 이어져 전력시스템의 비용을 줄이는 역할을 수행한다. 이러한 긍정적 영향을 개별 효율 사업의 평가에 반영했을 때 효과적인 에너지효율 정책의 실행이 가능하다. 해외 선도 사례에서는 이미 에너지효율 자원의 편익을 시간별 회피에너지비용으로 산정하고 있다. 국내에서도 장기적으로 시공간적으로 해상도를 높여 평가체계를 고도화하는 것이 바람직하다.

문헌검토 결과 국가 차원 및 장기적 관점에서 회피발전비용을 시간별로 분석하고 발전비용과 회피발전비용을 비교한 연구는 제한적이었다. 효율 자원의 편익은 일반적으로 연평균 에너지가격으로 산정되고(Kim, 2023), 공학적 연구들은 회피비용을 도출하였지만 경제성 평가에 대한 정책적 함의를 제시하고 있지 않았다. 반면 회피발전비용에 대한 선진 사례에서는 이미 효율 자원의 경제성 평가에 365일 24시간의 해상도를 적용하고 있다(EEE, 2024; Frick et al., 2022; SEE et al., 2024). 효율 자원이 전력을 절감하는 시간대에 따라 회피용량비용에 큰 차이가 있기 때문이다. 에너지 절감량을 중점적으로 평가하고, 편익 산정 방법은 공개하지 않는 국내 상황과 대조적이다.

이 연구에서는 회피에너지비용을 도출하기 위해 장기적 시스템 관점에서 수요 관리가 전력 부문에 미치는 영향을 포괄적으로 검토하였다. 에너지원 중 전력에 한하여 분석을 진행하였고, 시간별 회피발전비용 반영 필요성을 고려하여 다음과 같은 연구 목표를 제시한다:

  • (1) 제11차 전력수급기본계획(MOTIE, 2025)1)의 목표수요와 기준 전망을 반영하여 시간별 발전비용 및 회피발전비용 산정
  • (2) 시간별 발전비용 및 회피발전비용 비교 분석
  • (3) 발전 부문의 장기 계획 및 전망이 회피발전비용에 미치는 영향 검토

연구방법은 에너지시스템 모형을 이용한 시나리오 분석이다. LEAP (Heaps, 2022)로 2024 ~ 2038년 기간에 대해서 전력수요와 발전부문 에너지시스템 모형을 구축하였다. 14개의 발전원과 2개의 에너지저장 기술을 포함하며, 시간대별 수급 특성을 반영하기 위해 12개월 24시간의 시간적 해상도를 적용하였다. 문헌검토를 통해 회피발전비용에 반영할 항목을 도출하였고, 발전비용 산정에 필요한 기술특성치를 입력하였다. 정부에서 발표한 전력수급기본계획의 기본 전제를 최대한 반영하는 방향으로 총 세 개의 시나리오를 구축하였다.

“목표 수요관리”(Target Demand Management; 이하 Target DM) 시나리오는 계획상의 목표수요 및 발전계획이 현실화된 상황을 가정한다. 이와 비교할 반사실적(counterfactual) 시나리오로서 1) 수요관리가 없다는 가정 하에 추가적인 전력 공급이 태양광 발전을 통해 이루어지는 “수요관리 없는 태양광 발전”(No Demand Management Solar; 이하 NDM Solar) 시나리오와, 2) 수요관리가 이루어지지 않지만 전력 공급이 가스 발전을 통해 이루어지는 “수요관리 없는 가스 발전”(No Demand Management Gas; 이하 NDM Gas) 시나리오를 각각 상정하였다. 태양광 보급률을 다르게 설정한 두 개의 반사실적 시나리오와 비교함으로써 해석의 폭을 넓히고자 하였다.

연구 구성은 다음과 같다. 2장에서 해외 사례 및 국내 문헌을 검토하고, 3장에서 연구방법을 기술한다. 4장에서 분석 결과를 제시하고, 5장에서는 결론 및 시사점으로 마무리한다.


2. 해외 사례 및 국내 문헌 검토

2.1. 미국의 에너지효율 경제성 평가

국가별로 경제성 평가가 다양하게 이루어지고 있으나, 그 중 회피발전비용이 이미 정책적으로 활용되고 있는 미국 사례를 중점적으로 검토하였다. ACEEE (American Council for an Energy Efficient Economy), NESP (National Energy Screening Project) 등 에너지효율 관련 단체들이 발간한 보고서 및 매뉴얼은 분석방법을 표준화하고, 목적과 용도에 맞춰 분석할 수 있는 기본 틀을 제시하고 있다. 캘리포니아와 뉴잉글랜드 지역에서는 에너지효율 사업보다 넓은 범위인 분산형 에너지 자원(DER) 또는 수요측 자원 전반에 대해서 경제성 평가 자료를 제공한다(EEE, 2024; SEE et al., 2024).

캘리포니아의 회피비용 계산기(EEE, 2024)는 분산형 에너지 자원을 위한 회피비용 자료를 제공한다. 이는 California Public Utilities Commission (CPUC)의 통합수요관리(Integrated Demand Side Management, IDSM)의 일환으로, 에너지 효율, 수요 반응, 연료 전환, 자가 발전, 에너지 저장 장치의 종합적인 관리를 뜻한다. 뉴잉글랜드 지역의 회피에너지비용 보고서인 SEE et al. (2024)은 6개 주를 대상으로 2024 ~ 2038년 기간의 연도별 회피발전비용을 제시한다. 해당 보고서는 6개의 수요관리 시나리오와 발전부문에서의 연료 가격 및 청정 전력 비중 변화를 고려한 2개의 민감도 분석 시나리오를 포함하고 있다. 뉴욕주의 Value Stack Calculator는 도매 에너지 단가 외에도 분산형 에너지 자원이 계통에 미치는 영향을 종합적으로 평가한다(NYSERDA, 2025). 보상액은 에너지 공급 시점과 위치에 따라 산정되며, 지리적 위치에 따른 계통혼잡 완화 효과를 회피비용에 반영하고 있다. 버클리 국립연구소(LBNL)는 엑셀 기반의 회피비용 계산기를 개발하여 보급하는 등 다양한 자료가 제공되고 있다(Frick et al., 2022). 문헌에서 경제성 분석에 포함한 항목은 Table 1과 같다.

Cost category by source

2.2. 국내 에너지효율 정책의 경제성 평가

MOTIE (2025)에 따르면, 기관별 최대전력 절감 목표량은 2038년 기준 한국전력 7,538 MW, 한국에너지공단 1,477 MW이다. 에너지공급자 효율향상 지원사업(Energy Efficiency Resource Standard; 이하 EERS)을 통해 공급자에게 판매량 비례 절감 목표를 부여하고 있으며, 한국전력의 2025년 의무목표비율은 0.2%로 설정되어 있다. 관련 지침에 따라 매년 산업통상자원부에 제출하는 EERS 연차별계획에는 에너지절감목표 외에도 부하율 개선 목표, 투자비 계획, 경제성 평가를 명시해야 한다(Administrative Rules, 2024). 경제성 평가를 위한 제도적 근거는 마련되어 있으나, 공표된 실적 자료(KEA, 2024b)에는 투자 총액과 에너지 절감량(GWh)만이 나열되어 있는 실정이다.

선행연구인 Kim et al. (1996)은 장기 회피발전비용 도출 방법론을 소개했으나 연도별로 표준화된 회피발전비용을 제시하지 않았다. Hwang et al. (2000), Park et al. (1997), Park et al. (2000), Oh et al. (2003) 등은 특정 수요관리 프로그램 분석에 그쳤고 범용적인 회피비용은 도출하지 않았다. Lee et al. (2006)은 시간별 운전패턴을 반영했으나 가상 시스템에 기반한 사례 연구로서 국가 차원의 설명력이 부족했다. 이러한 기존 연구들과 달리 특정 정책에 국한되지 않고 국가 목표 전망을 반영한 Target DM 시나리오를 구축하였으며, 정부가 목표로 하는 수요감축 사업에 대한 회피발전비용을 산정하였다. 추가적으로 NDM Solar 및 NDM Gas 시나리오를 통해 발전믹스의 변화가 회피발전비용에 미치는 영향을 검토하였다.


3. 연구 방법

3.1. 기준 에너지 시스템

에너지시스템 모형은 에너지의 수요와 공급에 대한 혜안을 제공하는 핵심적인 방법론으로 자리잡고 있다(Pfenniger et al., 2014). 목적에 부합하도록 기준 에너지시스템의 구조와 분석 시계, 시공간적 해상도 등을 설정하였다. 시간적으로 12개월 24시간의 해상도를 적용한 국가 단위의 전력부문 모형을 LEAP에서 구축하였다. 모형의 기본 구조는 Fig. 1과 같다. 발전부문은 14개의 발전기술과 2개의 에너지 저장기술로 구성하였고, 각 기술에 대해 자본비용, 고정 및 변동 O&M 비용, 설비 수명, 가동률 범위, 프로세스 효율, 전부하 시간 등의 기술특성치를 입력하였다. 기준연도(2023년)의 전국 전력 실수요를 바탕으로 부하곡선을 도출하였다.

Fig. 1.

Reference energy system

3.2. 에너지시스템 모형의 검증

모형을 검증하기 위해 두 가지 측면에서 모형의 적합성을 확인하였다. 첫째, 2022 ~ 2024년의 실제 발전량 통계와 모형 결과값을 비교 분석하였다. 둘째, 전력시장의 정산 단가 통계와 모형의 발전비용 출력값을 비교하였다. 이러한 검증 과정을 통해 모형의 구조적 타당성과 입력 변수의 신뢰성을 확보하고자 하였다.

발전원별 발전량의 비교 결과 모형값과 실제값은 유사한 추이를 보였다(Fig. 2). 가장 큰 편차는 가스발전과 석탄발전의 모형값과 실제값의 차이인데, 가스발전의 경우 2024년 실제 발전량(167.2 TWh) 대비 모형값(97.4 TWh)이 42%의 큰 오차를 보였다. 이는 발전 부문 모형의 시간적 해상도가 월-시간 단위인 반면, 연료비용은 연평균 단위로 입력되어 가스와 석탄 발전 간의 대체 관계를 충분히 설명하지 못한 결과로 추측된다. 실제로 2022 ~ 2024년 사이 화력발전의 연료비용은 유연탄이 49,581 KRW/Gcal에서 34,260 KRW/Gcal로, LNG가 116,410 KRW/Gcal에서 80,898 KRW/Gcal로 30% 이상 급락하는 등 매우 불안정하였다. 또한, 본 모형에 12개월 24시간의 해상도를 적용했음에도 피크 부하의 영향을 완전히 반영하지 못해 가스 발전소 가동에 대한 설명력이 제한된 것으로 판단된다. 따라서 결과 해석에 있어서도 가스 발전량이 과소 추정될 수 있음을 염두에 두고, 발전 비용과 회피발전비용의 전체적인 방향성과 추세 분석에 초점을 맞추었다.

Fig. 2.

Comparison of modeled and actual generation mix (2022-2024)

Fig. 3에서는 모형이 산출한 2024년 발전비용과 실제 전력시장의 정산단가를 비교하였다. 전력시장의 정산단가는 한계 발전원의 변동비가 반영된 SMP (계통한계가격)를 기반으로 산출된다. 따라서 SMP를 주로 결정하는 가스 발전 이외의 발전원들은 발전비용이 정산단가보다 낮게 형성되는 것이 일반적이다. 그러나 정산단가는 변동비 외에도 고정비 성격의 항목들을 포함하므로, 모형의 발전비용과 근사할 것이라는 가정하에 비교를 진행하였다.

Fig. 3.

Comparison of modeled cost of generation and actual price of settlement (2024)

석탄과 가스 발전은 정산단가에 비해 모형의 발전비용이 각각 13% 낮게, 23% 높게 산출되었다. 앞서 Fig. 2에서 설명했듯이 연료가격의 변동성과 시간별 부하로 인한 석탄과 가스의 대체관계를 반영하지 못한 결과로 추정된다. 원자력은 모형의 발전비용이 14% 높게 산출되었는데, 원자력의 경우 사용 후 핵연료 관리 비용 및 정책지원 비용들을 산정하는 기준과 방법, 외부비용의 포함 여부에 따라 발전단가의 편차가 크다.

태양광, 풍력, 조력은 비중앙급전 발전원으로서, 시간대별 발전 가능 용량과 발전비용을 전력거래소에 입찰하지 않는 특성을 지닌다. 자본비용에 비해 변동 유지관리비가 매우 낮기 때문에 시장 SMP 가격과 상관없이 우선적으로 발전하며, 계통 안정성에 심각한 위험이 있을 경우에만 출력 제어 지시를 받는다. Fig. 3에서 태양광의 발전단가는 실제 정산단가보다 30%, 풍력은 14% 낮게 나타났다. 재생에너지의 경우 시장 정산금 외에 REC (신재생에너지 공급인증서) 등 정부의 추가 지원이 존재한다는 점을 감안할 때, 모형이 도출한 태양광과 풍력의 발전단가는 정산단가보다 낮을 수 있다.

Fig. 3에서 조력, 바이오매스, 연료전지는 발전단가와 정산단가가 2배 이상의 차이를 보였다. 이들은 정부가 정책적으로 보급을 추진 중인 신재생 에너지원으로서 별도의 정책지원이 수반된다. 경제성 기반의 최적화 과정에서는 가동 우선순위에서 밀려날 수 있지만, 전력수급기본계획에서는 이들 발전원의 유지를 가정하고 있다. 이를 반영하기 위해 시나리오 기간 중 해당 발전원들에 대한 최소 발전 비중을 설정하였다.

Fig. 3을 통해 발전단가를 기반으로 입찰이 이루어지는 주요 발전원들에 대해서는 모형이 적절한 설명력을 갖추고 있음을 확인하였다. 발전원의 특성에 따라 정산비용과 발전비용 간의 차이는 존재할 수 있으나, 비용의 변화 추이에 초점을 맞추어 분석하였다.

3.3. 시나리오

분석을 위해 제11차 전력수급기본계획(MOTIE, 2025)의 기준 및 목표 전망을 토대로 Target DM, NDM Solar, NDM Gas 총 세 개의 시나리오를 구축하였다. MOTIE (2025)의 목표 전망은 기준 전망에 기관별, 부문별 수요관리 목표를 반영하여 도출한 결과이다. 여기에는 효율기기, 행동변화, 효율 정책, 스마트 기술, 수요관리형 요금제 등의 연도별 절감 목표가 포함된다. Target DM 시나리오는 목표 수요 달성을 가정하고 계획된 발전용량 전망을 반영하였다. NDM Solar와 NDM Gas 시나리오는 수요관리 목표를 달성하지 못한 상황을 가정하여 기준 전망의 전력수요를 반영하였다. Target DM의 전력수요는 2038년 624.5 TWh (기준수요 대비 15% 감소)로 2024년 대비 연평균 1.0%, 총 14% 증가한다. NDM Solar와 NDM Gas의 전력수요는 2038년 735.1 TWh로 2024년 대비 연평균 2.0%, 총 35% 증가한다.

Scenario overview

MOTIE (2025)는 발전설비 계획에서 목표수요 전망 하에 신규 필요설비 용량을 제시하고 있으나, 기준 전망에 대응하는 설비용량은 별도로 명시하지 않고 있다. 발전설비계획에서는 목표수요에 대한 안정적 전력공급을 위해 2031 ~ 2038년 기간 확정 설비 외에 10.3 GW의 신규건설이 계획되어 있다. 탄소배출 감축을 위해 열병합 2.2 GW, SMR 0.7 GW, 대형원전 2.8 GW, 무탄소경쟁 1.5 GW의 추가 설비를 계획하고, 확정되지 않은 3.1 GW에 대해서는 다음 기 계획으로 결정을 유보한다. Target DM 시나리오에서는 이러한 발전설비계획을 반영하였고, 확정되지 않은 3.1 GW는 청정수소 암모니아 발전원으로 가정하였다.

NDM Solar의 설비용량은 MOTIE (2025)에서 제시한 목표 예비율 22%를 기준수요에 적용하여 산출하였다. 분석 결과, 2038년 NDM Solar는 Target DM의 계획 용량 대비 19.9 GW의 추가 설비가 필요한 것으로 나타났다. 앞서 언급했듯이 Target DM의 신규 설비 10.3 GW는 아직 상용화되지 않은 SMR와 무탄소 발전(암모니아 및 수소 전소), 대형원전, 열병합으로 구성되어 있다. 무탄소 발전의 경우 상용화 초기에 용량을 2 ~ 3배 늘리기에 어려움이 있고, 대형 원전도 증설을 가정하기에 무리가 있다. 이에 따라 NDM Solar의 추가 필요 용량을 태양광과 열병합 발전으로 제한하여 설정하였다. 신규 건설 용량 중 열병합 발전이 차지하는 비중(21%)을 추가적으로 필요한 용량에 적용하여, 2038년까지 Target DM 대비 4.2 GW의 열병합 설비 증설을 가정하였다. 그 외 부족한 용량은 모두 태양광 발전으로 충당하는 것으로 가정하였다. 이때 태양광의 피크 기여도 14.3%(MOTIE, 2025)를 적용하여 실효용량 15.3 GW에 해당하는 정격용량 109.3 GW를 증설하는 것을 전제로 하였다. 설비 확충 시점의 경우, MOTIE (2025)에서 적용하는 연도별 예비율(20 ~ 22%)을 적용했을 때 2029년부터 발전용량이 부족하였다. 이에 따라 열병합 발전소 증설은 2029 ~ 2038년 동안 균등하게 이루어진다고 가정하였고, 태양광의 경우 확정설비 이외에 증설되는 여타 용량과 마찬가지로 2031 ~ 2038년 동안 균등하게 증설된다고 가정하였다.

NDM Solar의 태양광 보급률은 도전적일 수 있기 때문에 이와 대비되는 NDM Gas 시나리오를 추가적으로 분석하였다. 증설되는 발전소는 자본비용이 가장 낮은 열병합 발전소로 제한하였고, 2029년부터 증설되어 2038년에 89.1 GW로 증가한다고 가정하였다. 다양한 조건 하에서 회피발전비용의 변화를 분석함으로써 연구 결과를 견고히 하고자 하였다.

3.4. 분석 항목 및 주요 전제

모형의 기술특성치는 Table 3에서 확인이 가능하다. 재생에너지는 KEEI (2024b)의 비용을, 화석연료 발전원은 KREA (2021)의 연구결과를 준용하였고, 그 외 발전원은 국내외 문헌값을 반영하였다. 2038년까지의 기술특성치 전망은 미국의 발전원별 발전비용을 전망하는 NREL (2024)을 준용하였다. 연료비용은 전력통계정보시스템 자료를 사용하였고, 2050년까지의 화석연료비용 전망은 KEEI (2024a)의 화석연료 가격 전망을 반영하였다. 이는 IEA (2024b)의 STEPS (Stated Policies Scenario) 아시아 지역 가격 전망을 2023년 평균 환율로 환산한 국내 도입단가이다.

Input specification for the generation sector (values in 2023 KRW)

향후 배출권거래제(ETS) 확대로 인해 발전부문의 온실가스 배출 비용 부담이 증가할 것으로 예상된다. ETS는 현재 3차 계획기간(2018 ~ 2025년)이 완료되는 시점인데, 발전부문은 전체 배출권의 10%를 유상할당하고 있다. MOEF and MOE (2024)는 4차 계획기간(2026 ~ 2030년)에 발전부문 유상할당 비중을 2030년까지 50%로 상향할 방침이다(Electricity Times, 2025). 이를 시나리오에 반영하여 2030년부터는 배출권의 50% 유상판매를 가정하였다. 배출권 가격은 IEA (2024b) STEPS의 한국 전망치인 2030년 56 USD, 2035년 65 USD를 반영하였다.

현재 지급되고 있는 계통운영보조서비스 정산금은 1차, 2차, 3차 주파수 제어 서비스 정산금, 자체기동정산금, 마일리지정산금, 예비력용량가치정산금이 있다. 2024년 계통운영보조서비스 정산금 총액이 5,716억 KRW로 전력거래정산금의 0.8%를 차지하였다. 향후 재생에너지 비중이 높아지면서 계통운영보조서비스에 대한 수요가 증가할 것으로 예상되지만(Kim, 2023), 증가분을 예상하기 어렵기에 현상유지를 가정하고 발전비용의 0.8%를 계통운영보조서비스 비용으로 반영하였다.

일반적으로 장기 시계를 고려한 경제성 분석은 할인율에 높은 민감도를 보인다. 기존 문헌을 참고하여 기획재정부의 예비타당성조사 수행 총괄지침의 4.5% 할인율을 적용하였다. 덴마크, 프랑스, 일본, 노르웨이 등 주요국이 35년 이내의 분석 기간에 대해 4.0%의 할인율을 적용하고 있다(영국 3.5%; KEEI, 2024b).

재생에너지 이용률은 기술적 특성, 설치 환경, 기상 여건 등에 따라 상당한 변동성을 보인다. 2023년도 발전원별 시간대별 발전용량과 발전량으로부터 시간별 이용률을 도출하였으며, 이를 KEEI (2024b)의 이용률에 부합하도록 보정(calibration)하였다.

3.5. 시나리오 비교를 통한 회피발전비용 산정

회피발전비용은 회피용량비용, 회피변동비용, 회피송배전비용, 회피손실비용, 회피환경비용, 회피정책비용으로 구성되어 있다. 회피발전비용을 도출하기 위해 NDM Solar (혹은 NDM Gas)와 Target DM 시나리오 간의 총 발전량을 에너지시스템 모형(LEAP)을 통해 산출하고, 다음과 같이 그 차이를 구한다:

Genyr, hr, NDMSolar, TDM=Genyr, hr, NDMSolar-Genyr, hr, TDM(1) 

다음으로 모형에서 도출한 시나리오별 총 발전비용의 차이를 구한다:

TCyr, hr, NDMSolar, TDM=TCyr, hr, NDMSolar-TCyr, hr, TDM(2) 

장기적으로 에너지효율 목표를 달성했을 때 시간별 발전비용의 편차를 알아보기 위해 Target DM 시나리오의 시간별 발전비용을 구한다:

GCyr, hr, TDM=TCyr, hr, TDMGenyr, hr, TDM(3) 

마지막으로 총 발전비용의 차이(NDM Solar vs Target DM)를 에너지효율 자원을 통해 절감한 발전량으로 나누어 시간별 회피발전비용을 구한다:

ACyr, hr, NDMSolar, TDM=TCyr, hr, NDMSolar, TDMGenyr, hr, NDMSolar, TDM(4) 

이 때 Gen은 총발전량(Total Electricity Generated, TWh), TC는 총발전비용(Total Cost, KRW), GC는 발전비용(Generation Cost, KRW/kWh), AC는 회피발전비용(Avoided Cost of Generation, KRW/kWh), yr는 연도(year, 2024-2038), hr는 시간(hour)이다. NDM Gas 시나리오에 대해서도 NDM Solar와 동일한 방법으로 Target DM 대비 분석하였다.


4. 분석 결과

Target DM 시나리오의 평균 발전비용은 2024년 133.3 KRW/kWh에서 2038년에는 124.8 KRW/kWh까지 6% 감소하는 추이를 보였다. 이에 비하여 시간별 발전비용의 표준편차는 2024년 13.7 KRW/kWh에서 2038년 28.8 KRW/kWh로 111% 증가하고, 시간별 발전비용의 구간은 2024년 73.4 KRW/kWh (108.8-182.2 KRW/kWh)에서 2038년 124.8 KRW/kWh (89.4-221.7 KRW/kWh)로 180% 증가한다. 태양광과 가스발전의 비중이 시간별 발전단가에 영향을 주는 것을 관찰할 수 있고, 태양광 용량과 함께 발전비용의 변동성도 증가하는 것을 확인할 수 있다. 2038년 최대 발전비용은 수요는 높지만 태양광의 출력이 낮아 가스발전의 비중이 높은 8월 20시, 최저 발전비용은 태양광이 전체 수요의 절반 이상을 공급하는 3월 14시에 발생하였다.

Fig. 4에서 Target DM 시나리오의 경우 시간별 발전비용의 편차가 커지는 것을 확인할 수 있다. NDM Solar, NDM Gas에서도 관찰되는 현상인데, 전력 수요가 증가하고, 태양광 발전의 비중이 증가할수록 시간별 편차가 두드러진다. 모든 시나리오에서 공통적으로 태양광 이용률이 높은 오후 1시 전후로 발전 비용이 낮아지고, 오전 8시 전, 오후 7시 이후로 발전단가가 증가하는 양상을 보인다. 2038년까지 태양광의 비중 증가와 가격 하락으로 오후 1시 전후로 발전비용이 낮아질 뿐만 아니라, 석탄과 가스발전의 발전단가가 증가하면서 이들의 비중이 높은 시간대의 발전단가가 매년 증가하여, 시간별 편차가 증가한다.

Fig. 4.

Generation cost for Target DM, NDM Solar, NDM Gas by year-month-hour

발전비용의 시간별 편차는 NDM Solar 시나리오에서 가장 두드러지는데, 태양광의 비중이 높은 오후 1시 전후로 발전비용이 가장 낮아진다. 반면 태양광 이용률이 하락하시는 시간대에는 Target DM에 비해 증가한 수요를 석탄과 가스발전으로 충당해야 하기 때문에 오전 8시 이전, 오후 7시 이후로 발전비용이 높아진다. NDM Gas에서는 오전 8시 이전, 오후 7시 이후 시간대의 비용 증가가 NDM Solar에 비해 약하게 나타나는데, 이는 NDM Gas에서 석탄과 가스 발전의 이용률이 NDM Solar 보다 상대적으로 높아 같은 기술특성치를 적용했음에도 NDM Gas에서 발전단가가 더 낮기 때문이다. 다양한 시나리오 전제 하에서 시스템 차원의 경제성 분석이 필요하다는 것을 확인할 수 있다.

이어서 Target DM과 NDM Solar, NDM Gas를 비교하여 회피발전비용을 분석하였다. NDM Solar의 발전비용은 2024년 135.8 KRW/kWh에서 2038년 126.8 KRW/kWh로 감소하는데, Target DM과 비교했을 때 2038년 평균 발전비용이 1.6% 높은 것에 그쳐 큰 차이가 없다. NDM Gas의 경우 2038년의 연평균 발전비용이 134.4 KRW/kWh로 Target DM에 비해 7.7% 높게 나타난다. NDM Gas에서 가스 발전 비중이 증가함과 동시에 온실가스 배출 비용이 증가한 영향이라 할 수 있다. Fig. 5에서 NDM Solar vs Target DM의 회피발전비용은 2024년 409.9 KRW/kWh에서 2038년 148.5 KRW/kWh으로 하락하는 양상을 보인다. 시나리오 초기에 회피발전비용이 더 높게 나타나기에, 회피발전비용을 이용한 편익 산정을 신속하게 도입할 필요가 있다.

Fig. 5.

Target DM, NDM Solar, NDM Gas generation cost and avoided generation cost

NDM Gas vs Target DM의 경우 회피발전비용은 2038년 180.8 KRW/kWh로 감소하여, NDM Solar vs Target DM에 비해 회피발전비용이 높게 나타난다. 2038년 NDM Solar vs Target DM, NDM Gas vs Target DM의 회피발전비용은 Target DM의 연평균 발전비용 보다 각각 10.4%, 56.9% 높다. 발전비용이 아닌, 회피발전비용을 반영하여 수요관리 정책의 편익을 산정했을 때 추가적으로 반영할 수 있는 전력 시스템 차원의 편익이라 할 수 있다. Target DM 시나리오와 비교하는 반사실적(counterfactual) 시나리오의 발전단가가 높을수록 회피발전비용이 높은데, 회피발전비용에 대한 분석은 미래에 대한 기준 전망에 민감하다는 것을 확인할 수 있다. 하지만 추가되는 발전용량에 대하여 태양광이나 가스 등 여러 대안을 고려하더라도, 회피발전비용이 발전비용을 상회할 것으로 해석할 수 있다.

2028년부터 2038년까지의 시간대별 회피발전비용의 상자 그래프 분석 결과(Fig. 6) NDM Solar vs Target DM의 회피발전비용 중앙값은 Target DM의 발전비용 중앙값과 근접해지지만, 시간별 편차는 증가하였다. NDM Gas vs Target DM의 회피발전비용 중앙값은 2038년까지 소폭 상승하고, 마찬가지로 시간별 편차가 증가하여 Target DM에 비해 그 폭이 넓게 나타났다. 전체 범위는 계속 증가하고, NDM Solar vs Target DM의 회피발전비용 범위가 NDM Gas vs Target DM 보다 크게 나타난다. 유의해야할 점으로 2030년부터 회피발전비용이 0보다 작은 경우, 즉 Target DM의 총 발전비용이 NDM Solar와 NDM Gas의 총 발전비용보다 높은 경우가 발생하게 된다. 이는 태양광의 비중이 증가하는 동시에 태양광의 발전비용이 감소하면서 NDM Solar와 NDM Gas 시나리오에서 특정 시간대의 평균 발전비용이 하락하기 때문이다. 태양광 발전과 ESS의 보급이 증가하여 시간별 발전비용 및 회피발전비용의 변동성이 커졌을 때 에너지 효율의 경제성 평가에 대한 새로운 접근이 필요할 것으로 보인다.

Fig. 6.

Hourly avoided generation cost box plot (2030-2038)

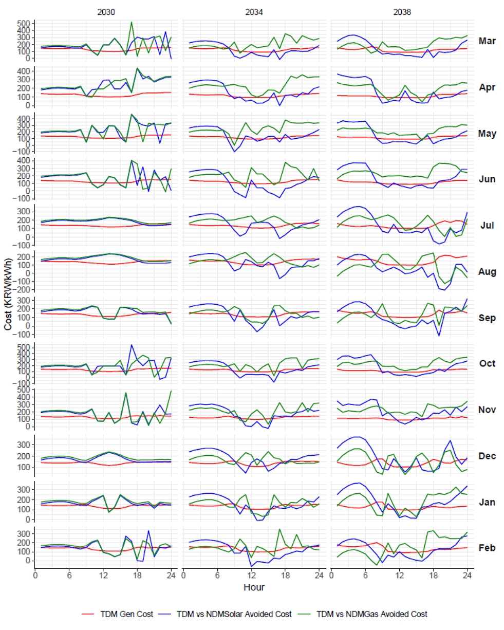
회피발전비용의 분포를 확인한데 이어, Fig. 7에서 시간별 회피발전비용을 Target DM의 발전비용과 비교하였다. 2030년, 2034년, 2038년의 데이터를 시간대별로 비교한 결과, 시점에 따라 회피발전비용과 발전비용 간의 우위가 교차하는 모습을 보인다. 2030년에는 대체로 회피발전비용이 발전비용보다 높은 것으로 나타나지만, 2034년, 2038년에는 회피발전비용의 시간별 편차가 커지고 발전비용과 교차하는 경우가 증가한다. 연평균 기준으로는 회피발전비용이 발전비용을 상회하더라도, 시간적 해상도를 높일 경우 특정 시간대에서는 경제성 평가 결과가 달라질 수 있음을 시사한다.

Fig. 7.

Generation cost and avoided generation cost for years 2030, 2034, 2038

NDM Solar vs Target DM에 비해 NDM Gas vs Target DM의 회피발전비용이 전반적으로 높게 나타난다. Fig. 7은 에너지효율 사업에 대한 경제성 평가가 발전 부문의 계획과 구조적으로 연동되어 있음을 시사한다. 편익 산정을 위해서는 수요 관리 정책을 통한 목표 수요는 물론, 발전부문의 반사실적(counterfactual) 전망에 대한 합의 또한 필요하다. 가스와 태양광 발전의 추가 증설에 대한 시나리오를 구축하였는데, 이외에도 풍력과 해상 풍력, ESS의 보급 확대 등 다양한 경로가 존재한다. 에너지 효율 사업과 함께 이들을 시스템 차원에서 종합적으로 평가하고 계획하는 체계가 필요하다.


5. 정책 시사점 및 결론

연구 결과, 연평균 회피발전비용은 발전 믹스와 무관하게 연평균 발전비용보다 높은 것으로 나타났다. 12개월-24시의 시간별 해상도로 분석했을 때 회피발전비용이 반사실적(counterfactual) 시나리오의 발전 믹스에 민감하게 반응함을 NDM Solar vs Target DM와 NDM Gas vs Target DM의 비교를 통해 확인하였다. 장기적으로 에너지효율 사업에 대한 경제성 평가를 체계화하고, 편익 산정 시 회피발전비용을 반영할 준비를 시작해야할 것이다.

NDM Solar와 NDM Gas 시나리오 비교 분석 결과, 태양광 비중이 높은 시나리오와 가스 발전 비중이 높은 시나리오 간의 회피발전비용이 상이하게 나타났다. 이는 발전설비 계획이 수요전망과 연동되어 있듯이, 수요관리 사업의 경제성도 발전설비 계획과 연동되어 있음을 시사한다. 따라서 이해관계자들이 합의할 수 있는 장기 발전계획에 기반하여 회피발전비용을 도출하는 과정이 필요하다. 수요관리 사업에 대한 정량화된 회피발전비용을 도출한다면, 회피편익이 극대화되는 시간대에 집중할 수 있는 부하 이전형 효율화 사업을 선별하고 지원할 수 있을 것이다.

에너지효율을 하나의 자원으로 다루고, 이를 우선적으로 개발하기 위해서는 경제성에 대한 검토가 선행되어야 한다. 이는 에너지 시스템의 사회적 비용을 최소화하기 위해 필요한 조치이다. 효율 자원 개발을 통해 불필요한 발전용량과 송배전 설비의 증설을 줄일 수 있다면 비용절감 외에도 사회적으로도 추가적인 편익이 발생한다. 에너지효율 사업을 통한 수요 감축은 개별 소비자들의 에너지비용 절감으로 이어지기에 충분한 투자요인이 있다. 하지만 개별 소비자들은 효율개선을 통한 에너지 시스템 차원의 장기적 편익을 체감할 수 없기에, 효율 자원에 원활한 투자가 이루어지도록 유인책을 제공하는 정책적 노력이 필요하다.

나아가 장기적으로 에너지저장장치 등 유연성 자원과의 상호보완적 관계를 고려한 통합적 접근이 요구된다. 향후 BESS (battery energy storage system)의 보급 확대와 비용 하락은 전력계통의 시간별 한계비용을 낮추어 효율 자원의 회피비용 감소로 이어질 가능성이 높다. 이는 효율 자원 단독의 경제성 평가를 넘어 에너지저장장치와 효율 자원이 전력망 내에서 수행하는 역할과 비용 효율성을 종합적으로 고려해야 함을 의미한다.

에너지 시스템 모형과 시나리오 분석을 통해 시간별 회피발전비용을 분석함으로써 효율 자원의 사회적 편익을 구체화하고 비용 효과적인 전력 시스템 구축을 위한 이론적 토대를 마련하였다. 에너지효율 자원에 대한 공신력 있는 평가를 총괄하는 정책적 노력이 시스템 차원의 분석 및 계획과 함께 이루어져야 할 것이다. 효율 사업은 초기투자가 이루어진 후 존속 기간이 10년을 쉽게 넘어선다. 향후 개별 효율 사업의 예비타당성 조사 및 EERS의 성과 평가에 발전비용이 아닌 회피발전비용이 활용되기를 기대한다.

Notes

1) 제12차 전력수급기본계획(2026년 발표 예정)에서 제시할 장기 전력수요 및 전원구성은 2035 국가온실가스감축목표(NDC) 등을 고려할 때 많은 변화가 있을 것으로 예상하나, 여기에서는 현재 가용한 제11차 전기본을 토대로 연구를 진행했음을 밝힌다.

References

  • Administrative Rules. 2024. Rules for the operation of demand management investment projects by energy suppliers (in Korean); [accessed 2025 Aug 25]. https://www.law.go.kr/행정규칙/에너지공급자의 수요관리 투자사업 운영규정/(2024-171,20241031)
  • Electricity Times. 2025 Sep 12. Government proposes raising free allowance cap to 50% for emission permits, sparking debate amid undisclosed total cap; [accessed 2025 Oct 8]. https://www.electimes.com/news/articleView.html?idxno=359768
  • Energy and Environmental Economics (EEE). 2024. Avoided cost calculator [For the California Public Utilities Commission]; [accessed 2024 Dec 12]. https://www.ethree.com/public_proceedings/energy-efficiency-calculator/
  • Frick N, Carvallo JP, Pigman M. 2022. Time-sensitive value calculator for energy efficiency and other distributed energy resources. Lawrence Berkeley National Laboratory.
  • Heaps CG. 2022. LEAP: The low emissions analysis platform. [Software version: 2024.4.0.15] Somerville, MA: Stockholm Environment Institute; [accessed 2024 Jun 15]. https://leap.sei.org
  • Hwang S, Kim B, Kim JH, Park JB. 2000. A benefit-cost analysis on the DSM programs part I (in Korean). Proceedings of the 2000 Fall Conference of the Korean Institute of Electrical Engineers.
  • International Energy Agency (IEA). 2024a. Energy efficiency 2024; [accessed 2025 Aug 20]. https://www.iea.org/reports/energy-efficiency-2024
  • International Energy Agency (IEA). 2024b. World energy outlook 2024; [accessed 2025 Aug 10]. https://www.iea.org/reports/world-energy-outlook-2024
  • Joint Ministries. 2020. The 6th energy efficiency improvement basic plan (in Korean).
  • Joint Ministries. 2021a. 2030 nationally determined contribution (NDC) upward revision (in Korean).
  • Joint Ministries. 2021b. 2050 carbon neutral strategy of The Republic of Korea (in Korean).
  • Kim J. 2023 Mar 10. Background and main contents of the Jeju pilot project for power market system improvement (in Korean). Electricity Journal; [accessed 2025 Aug 8]. http://www.keaj.kr/news/articleView.html?idxno=4919
  • Kim OK, Jong BP, Kwang IK, Sang CL. 1996. A study on the evaluation of long-term avoided generation cost (in Korean). Proceedings of the Summer Conference of the Korean Institute of Electrical Engineers 1996.
  • Korea Energy Agency (KEA). 2024a. Energy efficiency market formation project - Guidelines for calculating energy savings by equipment (in Korean).
  • Korea Energy Agency (KEA). 2024b. KEA energy handbook (in Korean).
  • Korea Energy Economics Institute (KEEI). 2024a. 2024 long-term energy outlook.
  • Korea Energy Economics Institute (KEEI). 2024b. Establishment and operation of long-term LCOE forecast system for expansion of renewable energy (5/5). Basic Research 24-22.
  • Korean Resource Economics Association (KREA). 2021. A meta-analysis of levelized cost of electricity (LCOE).
  • Lee J, Yoon Y, Lee Y, Ahn N. 2006. A study on evaluation of energy avoided cost for distributed generator considering time variation (in Korean). Proceedings of the Summer Conference of the Korean Institute of Electrical Engineers 2006.
  • Ministry of Economy and Finance (MOEF), Ministry of Economy (MOE). 2024. The 4th basic plan for the emissions trading scheme (in Korean).
  • Ministry of Trade, Industry and Energy (MOTIE). 2019. The 3rd energy basic plan (in Korean).
  • Ministry of Trade, Industry and Energy (MOTIE). 2025. The 11th basic plan for electricity supply and demand (in Korean).
  • National Energy Screening Project (NESP). 2020. National standard practice manual for benefit-cost analysis of distributed energy resources.
  • National Renewable Energy Laboratory (NREL). 2024. 2024 annual technology baseline. Golden, CO: National Renewable Energy Laboratory.
  • New York State Energy Research and Development Authority (NYSERDA). 2025. The Value Stack; [accessed 2025 Nov 05]. https://www.nyserda.ny.gov/All-Programs/NY-Sun/Contractors/Value-of-Distributed-Energy-Resources
  • Oh Y, Kim BH, Park JB. 2003. A benefit-cost analysis on the DSM programs (in Korean). The Transactions of the Korean Institute of Electrical Engineers 2003.
  • Park J, Kim J, Hwang S, Kim B. 2000. A benefit-cost analysis on the DSM programs part II (in Korean). Proceedings of the Fall Conference of the Korean Institute of Electrical Engineers.
  • Park Y, Kim D, Won J, Park J. 1997. A study on the calculation of avoided generation cost of an independent power producer based on the generation expansion plan (in Korean). Proceedings of the 50th Anniversary Summer Conference of the Korean Institute of Electrical Engineers 1997.
  • Pfenniger S, Hawkes A, Keirstead J. 2014. Energy system modeling for twenty-first century energy challenges. Renewable Sustainable Energy Rev 33: 74-86. [https://doi.org/10.1016/j.rser.2014.02.003]
  • Synapse Energy Economics (SEE), Sustainable Energy Advantage, North Side Energy, Resource Insight, Les Deman Consulting. 2024. Avoided energy supply components in New England 2024 report; [accessed 2025 Jul 17]. https://www.synapse-energy.com/avoided-energy-supply-costs-new-england-aesc

Fig. 1.

Fig. 1.
Reference energy system

Fig. 2.

Fig. 2.
Comparison of modeled and actual generation mix (2022-2024)

Fig. 3.

Fig. 3.
Comparison of modeled cost of generation and actual price of settlement (2024)

Fig. 4.

Fig. 4.
Generation cost for Target DM, NDM Solar, NDM Gas by year-month-hour

Fig. 5.

Fig. 5.
Target DM, NDM Solar, NDM Gas generation cost and avoided generation cost

Fig. 6.

Fig. 6.
Hourly avoided generation cost box plot (2030-2038)

Fig. 7.

Fig. 7.
Generation cost and avoided generation cost for years 2030, 2034, 2038

Table 1.

Cost category by source

Source Energy Generation Capacity GHG Policy1 GHG (Additional)2 Transmission & Distribution Ancillary Services Environ-mental Costs Losses Methane Emissions Air Quality DRIPE3
1: Costs internalized through policies such as ETS, RPS
2: Societal costs exclusive of policy costs
3: Demand Reduction Induced Price Effect; accounts for the effect of energy efficiency policy on energy price
 O : Included in the analysis
 △ : Optionally included in the analysis
 - : Excluded in the analysis
California
(EEE, 2024)
O O O O O O - O O O -
New England
(SEE et al., 2024)
O O O O O - O - O
New York
(NYSERDA, 2025)
O O O - O O O O - - -
LBNL
(Frick et al., 2022)
O O O - O O - - - - -
NSPM
(NESP, 2020)
O O O O O O O O O O O

Table 2.

Scenario overview

Scenario Year Elec. Demand
(TWh)
Elec. Gen.
(TWh)
Capacity (GW)
Total Nuclear Coal LNG SolarPV Wind
Target DM 2024 546.0 597.7 158.9 26.1 40.2 46.4 28.2 2.3
2038 624.5 676.5 283.9 35.2 22.2 69.2 77.2 40.7
NDM Solar 2024 546.0 602.9 158.9 26.1 40.2 46.4 28.2 2.3
2038 735.1 799.4 397.4 35.2 22.2 73.4 186.5 40.7
NDM Gas 2024 546.0 602.9 158.9 26.1 40.2 46.4 28.2 2.3
2038 735.1 795.8 303.8 35.2 22.2 89.1 77.2 40.7

Table 3.

Input specification for the generation sector (values in 2023 KRW)

Branch Capital Cost
(1,000 KRW/MW)
Fixed O&M
(1,000 KRW/MW)
Variable O&M
(KRW/MWh)
Fuel Cost
(KRW/Gcal)
Max Utilization
(%)
Lifetime
(Years)
Decommissioning Cost
(KRW/MW)
Efficiency
(%)
2023 2038 2023 2038 2023 2038 2023 2038 2023 2038
A detailed explanation on references and methodology for each specification is available in Appendix 1. (https://doi.org/10.5281/zenodo.18308391)
Nuclear 4,318,828 5,550,126 175,983 233,033 4,352 4,352 2,565 2,578 82.6 82.6 60 1,119,000,000 32.5
Coal 1,916,000 26,920,000 49,390 52,896 480 480 46,087 26,997 64.6 64.6 30 95,800,000 36.6
Gas 1,371,000 1,462,857 41,320 44,089 400 400 102,463 69,354 100.0 100.0 30 68,550,000 45.4
SolarPV Utility 1,296,000 653,366 38,592 34,024 100 100 0 0 15.4 16.6 25 55,757,000 100.0
SolarPV Self 1,834,000 1,096,716 22,245 19,849 0 0 0 0 15.4 16.6 25 0 100.0
Wind Onshore 2,707,000 1,928,250 56,647 55,822 100 100 0 0 23.0 24.5 25 135,350,000 100.0
Wind Offshore 6,073,000 3,318,288 130,569 129,657 100 100 0 0 29.0 30.8 25 303,650,000 100.0
Hydro 5,102,000 5,102,000 154,149 154,149 0 0 0 0 23.2 23.2 100 255,100,000 100.0
Tidal 8,011,000 8,011,000 230,000 230,000 0 0 0 0 19.5 19.5 100 400,550,000 100.0
Biomass 4,197,000 4,197,000 147,303 147,303 4,700 4,700 105,000 105,000 85.3 85.3 30 209,850,000 35.0
IGCC 5,800,000 5,800,000 130,340 130,340 3,300 3,300 46,087 26,997 87.0 87.0 30 290,000,000 43.0
Other 3,811,000 3,811,000 91,579 91,579 1,220 1,220 49,498 100.0 100.0 30 190,550,000 36.0
Fuel Cell 6,057,000 6,057,000 136,116 136,116 3,500 3,500 102,463 69,354 100.0 100.0 20 302,850,000 88.0
Hydrogen 1,488,000 1,488,000 44,832 44,832 400 400 177,059 91,629 100.0 100.0 30 74,400,000 80.0
BESS 1,270,000 791,700 36,000 21,516 0 0 0 0 100.0 100.0 15 72,000,000 35.0
PSH 5,551,000 5,551,000 30,177 30,177 869 869 0 0 100.0 100.0 100 277,550,000 64.0