The Korean Society of Climate Change Research
[ Article ]
Journal of Climate Change Research - Vol. 17, No. 1, pp.35-49
ISSN: 2093-5919 (Print) 2586-2782 (Online)
Print publication date 28 Feb 2026
Received 03 Dec 2025 Revised 17 Dec 2025 Accepted 23 Jan 2026
DOI: https://doi.org/10.15531/KSCCR.2026.17.1.035

안개 발생 임곗값의 공간적 변이와 지형·피복 요인의 영향 분석: 도로 CCTV 기반 실측 안개자료 활용 연구

이채연*, ; 김태석** ; 허병도*** ; 강성인****
*한국외국어대학교 대기환경연구센터 책임연구원
**한국외국어대학교 대기환경연구센터 연구원
***㈜월드텍 연구소장
****한국도로공사 도로교통연구원 수석연구원
Spatial variability of fog formation thresholds influenced by terrain and land cover using road CCTV-derived observations
Yi, Chaeyeon*, ; Kim, Taeseok** ; Heo, Byungdo*** ; Kang, SeongIn****
*Principle Researcher, Research Center for Atmospheric Environment, HUFS, Yongin-si, Korea
**Researcher, Research Center for Atmospheric Environment, HUFS, Yongin-si, Korea
***Research Institute Director, Research Institute, Worldtech, Wonju-si, Korea
****Senior Researcher, Korea Expressway Corporation Research Institute, Hwaseong-si, Korea

Correspondence to: prpr2222@hufs.ac.kr (81, Oedae-ro, Mohyeon-eup, Cheoin-gu, Yongin-si, Gyeonggi-do, 17035, Korea. Tel. +82-31-8020-5589)

Abstract

This study quantitatively investigates the spatial variability of temperature–dew point depression (T–Td) thresholds associated with fog formation using road-based observations extracted from CCTV footage along the Yeongdong Expressway in Korea. The CCTV-derived fog occurrences were integrated with nearby meteorological observations and detailed topographic and land-cover information to examine how local environmental conditions influence the T–Td values observed during fog events. The analysis reveals that, even when fog was present, T–Td thresholds varied markedly among sites, reflecting differences in surrounding terrain, surface characteristics, and local microclimatic conditions. Locations exhibiting relatively small T–Td thresholds were predominantly found in low-lying, open, and gently sloping terrain near rivers, where nocturnal radiative cooling, moisture availability, and cold-air pooling are readily established. Under these conditions, condensation and fog formation can occur close to saturation, requiring only a small temperature–dew point difference. In contrast, sites characterized by larger T–Td thresholds were generally associated with higher elevations, steeper slopes, and forest-dominated land cover. In such environments, enhanced turbulence, terrain-induced airflow, vegetation-mediated heat and moisture exchange, and increased air mixing tend to delay saturation or promote more complex pathways toward condensation. Consequently, fog may still form, but at comparatively larger T–Td values under more heterogeneous microclimatic conditions. These findings demonstrate that fog formation along road corridors cannot be adequately explained by atmospheric humidity conditions alone. Instead, the critical conditions for condensation and fog onset are strongly modulated by nonlinear interactions among topography, land cover, and local microclimate. The results underscore the importance of incorporating site-specific surface and terrain characteristics into road-fog prediction and risk assessment frameworks, providing empirical support for more localized and physically informed fog forecasting strategies.

Keywords:

Road Fog, CCTV-Based Observation, Temperature–Dew Point Depression (T–Td), Fog Threshold, Topography and Land Cover, Microclimate, Spatial Variability

1. 서론

최근 수십 년 동안 전 지구 기온은 인간 활동에 의해 빠르게 상승하고 있으며(IPCC, 2021), 2015 ~ 2024년 평균 온난화는 산업화 이전 대비 약 1.2°C로 평가된다(Forster et al., 2025). 기후시스템의 온난화는 대기 중 수증기량 증가, 경계층 구조 변화, 야간 복사냉각 약화 등 다양한 기상메커니즘을 통해 지역적 극한기상 현상의 발생 특성에도 영향을 미치는 것으로 알려져 있다. 이러한 변화는 저시정 기상현상(fog, mist)의 장기적 발생양상에도 변화를 초래할 가능성을 내포하고 있으며, 특히 국지 기상과 지표면 조건의 상호작용이 중요한 중위도 지역에서 그 영향은 더욱 두드러질 수 있다(Danielson et al., 2020).

안개는 대기 중 수증기가 응결하여 부유된 미세 물방울로, 그 형성 과정은 복사냉각·수증기 공급·혼합강도·지표면 특성 등 다양한 물리요인이 복합적으로 작용하는 결과이다(Gultepe et al., 2007). 기온과 이슬점온도 차이(temperature–dew point depression, T–Td)는 이러한 응결 가능성을 반영하는 지표로, 일반적으로 T–Td가 약 0–2°C에 접근할 때 공기는 포화상태에 가까워지며 안개 발생 가능성이 급증한다(Stull, 2017).

지형적 여건 또한 안개 발생에 중요한 역할을 한다. 계곡과 저지대는 야간 복사냉각과 냉기의 정체에 의해 T–Td가 빠르게 감소하는 경향이 있으며, 하천·호수 인근 지역은 수증기 공급 증가로 이슬점이 상승하여 안개 형성에 유리하다(Pérez-Díaz et al., 2017). 도시화 또한 안개 발생에 영향을 미칠 수 있는데, 열섬현상으로 인한 야간 기온 상승은 복사안개 빈도를 감소시키는 반면, 도시 배출물질 증가는 안개입자 농도 및 성장과정에 영향을 미쳐 공간적 분포를 재편하는 것으로 보고된다(Hůnová et al., 2018; Lal et al., 2025).

안개는 시정저하를 통해 운송·교통 부문에 큰 위험을 초래하며, 특히 도로에서는 기상조건·도로선형·지형이 복합적으로 작용하여 사고 위험이 크게 증가한다(Gorzelanczyk, 2025; Song et al., 2023). 국지지형(계곡·산지·하천 인접부)은 공기 정체, 습도 증가, 약한 풍속을 유도하며 안개 취약성을 강화하는 대표적 환경요인으로 확인되었다(Hůnová et al., 2021).

기후변화로 인해 야간 복사냉각 패턴, 대기안정도, 수증기량 등이 변화하면서 지역별 안개 빈도·강도·시간대 분포 또한 장기적으로 변화할 가능성이 있으며(Danielson et al., 2020), 이는 도로안개 위험지역의 특성과 발생조건을 재정의할 필요성을 제기한다. 특히 기존 기상관측망만으로는 충분히 식별하기 어려운 국지규모 안개는 도로 CCTV와 같은 고해상도 영상자료를 활용할 때 보다 정확히 파악될 수 있다(Li et al., 2021).

기존 안개 연구는 주로 관측소 기반의 기온·습도·풍속 자료를 활용해 안개 발생조건을 분석해 왔으나, 실제 도로에서 발생한 안개 사례와 그 시각의 기온–이슬점차(T–Td) 임곗값을 정량적으로 규명한 연구는 아직 매우 부족하다. 또한 국지지형과 발생시각(야간·새벽·주간)에 따른 T–Td 임곗값의 차이를 실측 기반으로 분석한 연구 역시 거의 수행되지 않았다.

최근 도로 CCTV 기반 영상 분석 기술이 고도화되면서 실제 도로 구간에서 발생한 안개 시점을 높은 공간·시간 해상도로 파악할 수 있게 되었으며, 이를 주변의 물리적 환경들과 결합하면 국지적 특성을 반영한 실제 안개 발생 요인을 정량화할 수 있다.

이에 본 연구는 도로 CCTV 기반 실제 안개 사례의 T–Td 임곗값(안개 발생 관측값의 분류 경계 값)을 산출하고, 국지지형에 따른 T–Td 임곗값의 공간적 변동성을 평가함으로써, 도로안개 발생 메커니즘에 대한 이해를 심화하고, 향후 도로안개 위험관리에 필요한 기초자료를 제공하는 것을 목적으로 한다.


2. 연구재료 및 방법

2.1. 연구대상지 및 자료 구성

본 연구는 영동고속도로 주요 구간에 설치된 도로교통용 CCTV를 대상으로 하여 안개 발생 여부를 판별하고, 해당 시공간에서 관측된 기상·지형 자료를 연계함으로써 도로안개 발생 조건을 정량적으로 분석하였다. 연구 자료는 크게 CCTV 기반 안개 판별 자료, 자동기상관측망 자료(ASOS 및 AWS), 그리고 국지 지형·환경 정보를 포함한 GIS 기반 공간자료로 구성하였다(Table 1). CCTV 자료는 안개 발생 시점을 도로 실황 수준에서 직접 확인할 수 있는 고해상도 영상자료라는 점에서 기존 기상관측망의 한계를 보완하는 역할을 하며, 기상자료는 안개 발생 시각의 기상조건을 정량화하는 데 활용되었다. 지형자료는 지면 특성과 주변 환경이 안개 형성에 미치는 영향을 고려하기 위해 구축하였다.

Data and variables used in this study

2.1.1. CCTV 기반 안개 판별 자료 구축

CCTV 자료는 기상기후 빅데이터 분석 플랫폼 날씨마루의 고속도로 비눈안개 분석정보를 활용하여 수집하였다. 이 플랫폼에서는 우리나라 고속도로 CCTV기반 비눈안개 분석정보가 표출되는데, 그 중 영동고속도로를 대상으로 하여 관측지점 중 영상 화질과 시정 판별이 가능한 구간을 선별하였다(Fig. 1). 수집된 각 영상은 시스템에서 알고리즘에 의해 분석된 모든 사례 중 안개 발생 자료와 미발생 자료로 분류하였다. 안개 발생 시각은 영상의 시작 및 종료 시각의 산술평균을 활용하여 중간시각을 산정하였으며, 이는 이후 기상자료 연계의 기준 시각으로 활용되었다.

Fig. 1.

Distribution of CCTV and meteorological observation sites along the Yeongdong Expressway

2.1.2. 기상자료 매칭 및 기온과 이슬점온도 차의 임곗값 산출

기상자료는 ASOS 및 AWS에서 제공하는 시간별 관측자료 중 CCTV 영상의 중간시각에 가장 근접한 관측시각을 기준으로 매칭하였다. 구체적으로, 중간시각이 정시 기준 30분 이상 경과한 경우 다음 정시의 관측자료를 매칭하고, 30분 미만일 경우 이전 정시의 관측자료를 매칭하는 방식으로 시간 일치를 수행하였다. 또한 공간적 매칭은 CCTV 지점에 가장 가까운 관측소를 1차적으로 사용하며, 이 관측소의 자료가 결측인 경우 두 번째로 가까운 관측소의 자료로 보완하였다.

수집된 기상자료에는 기온, 상대습도, 풍향, 풍속, 일 누적강수량, 1시간 누적강수량, 현지기압, 해면기압이 포함되며, 이슬점온도는 기온과 상대습도를 이용한 Magnus식 기반 산출식을 사용하여 계산하였다(Lawrence et al., 2005).

안개 발생 분류 임곗값 산출을 위해, 각 지점에서 관측된 기온–이슬점온도 차이(T–Td)를 활용하였다. T–Td 임곗값은 안개 발생의 절대적 물리 조건이라기보다, 관측 기반의 분류 경계라고 할 수 있다. 우선, 영동고속도로 상의 각 CCTV 지점을 단위로 안개 발생 사례(243건)와 미발생 사례(432건)를 구분하고, 이를 기반으로 의사결정나무(Decision Tree)를 활용하여 임곗값을 도출하였다. 이때 신뢰도 있는 임곗값을 산출하기 위해 다음과 같은 자료 선별 기준을 적용하였다. 첫째, 안개 발생 사례가 3건 미만인 지점은 통계적으로 안정적인 분류 경계를 설정하기 어렵다고 판단하여 분석 대상에서 제외하였다. 둘째, 안개 발생 사례는 3건 이상 존재하지만 안개 미발생 사례가 전혀 없는 지점 역시 안개 발생·미발생을 구분하는 임곗값을 설정할 수 없으므로 제외하였다. 셋째, 위 조건을 만족하더라도 개별 지점의 자료 분포 특성으로 인해 의사결정나무에서 명확한 분류 임곗값이 산출되지 않는 지점은 최종 분석 대상에서 제외하였다. 이와 같은 필터링 과정을 거친 결과, 총 15개 CCTV 지점(Fig. 2)에 대해 기온–이슬점온도(T–Td)를 이용한 안개 발생 분류 임곗값을 산출하였다(Table 2). 이렇게 도출된 지점별 임곗값은 이후 지형·피복 변수와 결합하여 안개 발생 조건의 공간적 변이와 영향 요인을 분석하는 지표로 활용하였다.

Fig. 2.

CCTV-based fog occurrence images by observation site

CCTV sites used in this study (orange cells indicate the locations where fog occurrence thresholds were determined)

2.1.3. 지형·환경 자료 구축

도로안개는 지형적 요인에 크게 영향을 받는 특성을 고려하여, CCTV 지점을 중심으로 국지 지형자료를 추가로 구축하였다. 지형자료는 토지피복 중 산지면적비율(forest), 초지면적비율(grassland), 나지면적비율(barren), 피복 다양성(land cover diversity), 고도(elevation), 경사도(slope), 천개지수(Sky View Factor, SVF), 그리고 하천으로부터의 거리(log river distance)와 같은 안개 형성에 영향을 미칠 수 있는 지표면 관련 변수로 구성하였다. 이 자료들 중 피복 다양성은 Shannon Diversity Index를 사용하여 계산하였다.

H=-iipi>0pilnpi

여기서, pi는 i번째 토지피복 유형의 비율(0 ~ 1 사이 값)을 나타내며, 합은 존재하는 피복 유형(pi>0)에 대해서만 수행된다. H' 값이 0에 가까울수록 단일 피복이 지배적이며, 값이 클수록 다양한 피복 유형이 고르게 분포함을 의미한다. 이 지수는 경관 다양성 분석에 널리 사용되며, 토지피복의 다양성을 정량화하는 데 효과적이다(Nagendra, 2002).

거리변수로 사용하는 하천으로부터의 거리는 하천까지의 거리를 로그 변환을 적용하여 왜도를 감소시켰다. 이들 자료는 GIS 환경에서 CCTV 지점의 좌표를 기준으로 최근접 공간값 또는 버퍼 내 평균값을 추출하여 구축하였다. 이를 통해 도로 주변의 지형적 특성과 미기상 환경을 보다 정밀하게 반영할 수 있도록 하였다.

2.2. 연구방법

본 연구의 분석 절차는 크게 (1) 기술통계량 분석, (2) 비선형 구조 탐색을 위한 LOESS (Locally Weighted Scatterplot Smoothing) 분석, (3) 지형·기상 특성 기반 사례 군집분석, (4) Random Forest 기반 SHAP (SHapley Additive exPlanations) 해석의 네 단계로 구성하였다.

2.2.1. 기술통계량 분석

우선 전체 자료의 분포 특성과 기본 통계적 특성을 파악하기 위해, 안개발생 임곗값(threshold), 산지면적비율(forest), 초지면적비율(grassland), 나지면적비율(barren), 피복 다양성(land cover diversity), 고도(elevation), 경사도(slope), 천개지수(Sky View Factor, SVF), 하천으로부터의 거리(log river distance)에 대한 기술통계량을 산출하였다. 평균(mean), 표준편차(sd), 최소값(min), 중앙값(median), 최대값(max)을 계산하여 변수 간의 기본적인 경향성을 확인하고, 이상치와 왜도의 존재 여부 등을 검토하였다. 이 과정은 후속 분석에서 필요한 변수 변환 여부 판단 및 군집분석·회귀분석의 기초 진단을 위한 기초단계이다.

2.2.2. LOESS (Locally Weighted Scatterplot Smoothing) 분석

기온–이슬점온도(T–Td)와 안개 발생 간의 비선형적 관계를 평가하기 위해 LOESS (Locally Weighted Regression) 분석을 수행하였다. LOESS는 데이터의 특정 구간을 중심으로 인접한 관측값에 가중치를 부여하여 국소적 회귀식을 적합하는 비모수적 평활 기법으로, 전체 자료의 전역적 형태를 가정하지 않고 관계를 추정할 수 있는 장점이 있다(Cleveland, 1979). 본 연구에서는 안개 발생 여부에 따른 T–Td 분포와 지형변수에 따른 조건적 변화 양상을 선형/비선형적 시각적으로 파악하기 위해 LOESS 평활 곡선을 도식화하였다. 이러한 분석을 통해 T–Td가 낮아지는 구간에서 안개 발생 확률이 증가하는지, 특정 지형조건에서 기울기 변화가 다른지 등을 탐색하였다.

2.2.3. K-means 군집분석

안개 발생 사례와 미발생 사례의 지형·기상적 이질성을 구조적으로 파악하기 위해 K-means 군집분석을 적용하였다. 우선 최적 군집수(k)를 결정하기 위해 Elbow Method와 Silhouette Method를 병행하여 평가하였다. Elbow Method는 군집 내 제곱오차합(WCSS)의 감소율이 급격히 완화되는 지점을 최적 군집수로 판단하며, Silhouette Method는 각 관측값이 소속 군집에 얼마나 잘 적합하는지를 측정하여 군집 품질을 비교한다. 두 방법의 결과를 종합하여 군집수를 설정한 후, K-means 알고리즘을 적용하여 군집화하였다.

군집분석 변수로는 산지면적비율, 초지+나지면적비율, 피복 다양성, 고도, 경사도, 천개지수(SVF), 그리고 하천으로부터의 거리를 사용하였고, 모든 변수에는 표준화(z-score)가 적용되었다. 이를 통해 안개 발생 사례가 특정 지형·기상 조건에서 집중되는지, 또는 유사한 환경 조건을 공유하는 그룹이 존재하는지를 분석하였다.

2.2.4. Random Forest 기반 SHAP (SHapley Additive exPlanations) 분석

기온–이슬점온도(T–Td) 임곗값과 관련된 주요 영향요인을 규명하고, 변수별 기여도를 정량적으로 해석하기 위해 Random Forest 회귀모형을 구축하였다. Random Forest는 여러 개의 결정트리(decision tree)를 앙상블하여 예측 성능과 안정성을 확보하는 방법이며, 변수 간 비선형성과 상호작용을 효과적으로 반영할 수 있다. 본 연구에서는 500개의 트리(n = 500)를 사용하였으며, 과적합을 방지하기 위해 각 트리의 최대 깊이(max depth)를 5로 제한하였다.

모형의 변수 중요도는 SHAP (SHapley Additive exPlanations)을 이용하여 평가하였다. SHAP은 게임이론 기반의 기여도 분해 방법으로, 각 변수의 개별 기여를 정량화하여 해석력을 확보한다. 변수의 평균 절대 SHAP값(mean absolute SHAP value)이 클수록 해당 변수가 T–Td 임곗값 예측에 더 중요한 영향을 미친 것으로 해석된다. 또한 SHAP 값이 양수일 경우 해당 변수가 임곗값을 증가시키는 방향으로 작용하며, 음수일 경우 임곗값을 감소시키는 방향으로 기여함을 의미한다. 이러한 분석을 통해 T–Td 임곗값에 영향을 미치는 기상·지형요인의 상대적 중요도와 개별 영향 방향을 구체적으로 규명하였다.


3. 결과 및 고찰

본 연구에서는 영동고속도로 CCTV 기반 안개 발생 자료와 기상·지형 자료를 결합하여 도로안개 발생 시의 기온–이슬점온도 차이(T–Td) 임곗값의 공간적·환경적 변동성을 정량적으로 분석하였다. 결과는 기술통계량, LOESS 비선형 구조 분석, 군집분석, Random Forest–SHAP 기반 변수 영향 분석을 중심으로 제시하며, 각각의 결과는 서로 보완적으로 작용하여 지형·환경 특성이 도로안개 발생 메커니즘에 미치는 영향을 규명한다.

3.1. 기술통계량 분석 결과: 기온-이슬점온도(T–Td) 임곗값의 공간 변동성

기술통계량에 따르면, 기온–이슬점온도(T–Td) 임곗값은 평균 0.80°C, 표준편차 0.89°C로 지점 간 변동폭이 매우 컸으며(0.01–2.96°C), 이는 동일한 기온·습도 조건에서도 지형적 환경에 따라 안개 발생 난이도가 크게 달라질 수 있음을 의미한다(Table 3). 이는 서론에서 논의한 바와 같이, 안개 발생은 기온과 습도뿐만 아니라 복사냉각, 바람환경, 국지적 공기 정체, 지형의 밀폐도 등 다양한 국지 기상요인의 영향을 받는 복합적 현상이라는 점(Eugster, 2001; Gultepe et al., 2007)과 일치한다. 기술통계량 분석은 도로안개 발생의 분류 경계값인 T–Td가 단일한 임곗값으로 설명될 수 없으며, 지점 간 상당한 이질성이 존재함을 보여주었다.

Descriptive statistics of topographic variables and fog occurrence T–Td thresholds for the 15 sites

3.2. LOESS 분석 결과: 지형·환경 요인의 비선형적 관계

LOESS 평활곡선은 주요 지형 변수와 임곗값(T–Td) 사이에 존재하는 분명한 비선형적 관계를 해석할 수 있다(Fig. 3). 고도(elevation)가 높아질수록 T–Td 임곗값이 증가하는 경향이 나타났으며, 이는 고지대 환경에서 안개가 상대적으로 형성되기 어렵다는 점을 의미할 수 있다. 고지대는 기류 혼합이 활발하고, 야간 복사냉각의 구조가 평지와 다르게 전개되기 때문에 찬공기의 저류가 제한된다(Eugster, 2001).

Fig. 3.

LOESS smoothing curves for terrain variables vs threshold

경사(slope)가 증가할수록 임곗값은 증가하였는데, 이는 급경사 지형에서 차가운 공기가 지표면 부근에 정체되기 어렵고, 지표면 차갑게 식으며 형성되는 안정한 냉공기층이 흐트러져, 복사안개가 형성될 조건이 충족되지 않기 때문이다.

천개지수(SVF)가 매우 낮은 구간(0.1 이하)에서는 임곗값이 비교적 높게 나타났으나, SVF가 0.2 ~ 0.3 수준으로 증가하는 구간에서는 임곗값이 뚜렷하게 감소하는 경향으로 분석되었다. 이는 극도로 폐쇄된 협곡에서는 지형풍, 난류 교란, 열적 불균일성 등으로 인해 냉기가 안정적으로 잔류하기 어렵지만, 적당히 폐쇄된 계곡 환경에서는 야간 복사냉각과 냉공기 저류가 가장 효율적으로 작용하여 상대적으로 작은 T–Td에서도 안개가 형성될 수 있음을 의미한다.

토지피복 및 하천 거리와의 관계에서도 일관된 기후·지형 특성이 나타났다. 산림면적 비율(forest)이 높을수록 임곗값이 증가하는 경향이 확인되었는데, 이는 울창한 산림 지역에서 복사냉각이 상대적으로 덜 발생하고, 지형면의 거칠기 및 난류 생성이 증가해 안개 형성이 제한되기 때문이다. 반면, 초지(grassland)와 나지(barren)의 비율이 낮을수록 임곗값이 감소한 것은 지표 냉각이 효율적으로 일어나기 때문이다. 하천에 가까운 지역(log river distance)에서는 수증기 공급이 증가하고 상대습도가 높아지기 때문에 임곗값이 작게 나타난 것으로 판단된다. 종합하면, LOESS 분석 결과는 T–Td 임곗값이 단순한 온·습도 조합만으로 결정되는 것이 아니라, 국지 지형 구조, 지표 피복 특성, 복사냉각·습도공급 환경 등 다양한 요인이 복합적으로 작용하는 비선형 시스템에 의해 조절된다는 점을 보여준다. 그러나 표본 수의 제약으로 인해, 해당 결과는 통계적 검정이나 정량적 추정으로 확장하기보다는, 변수들과 T–Td 임곗값 간 비선형적인 경향성을 정성적으로 탐색하는 수준으로 해석할 수 있다.

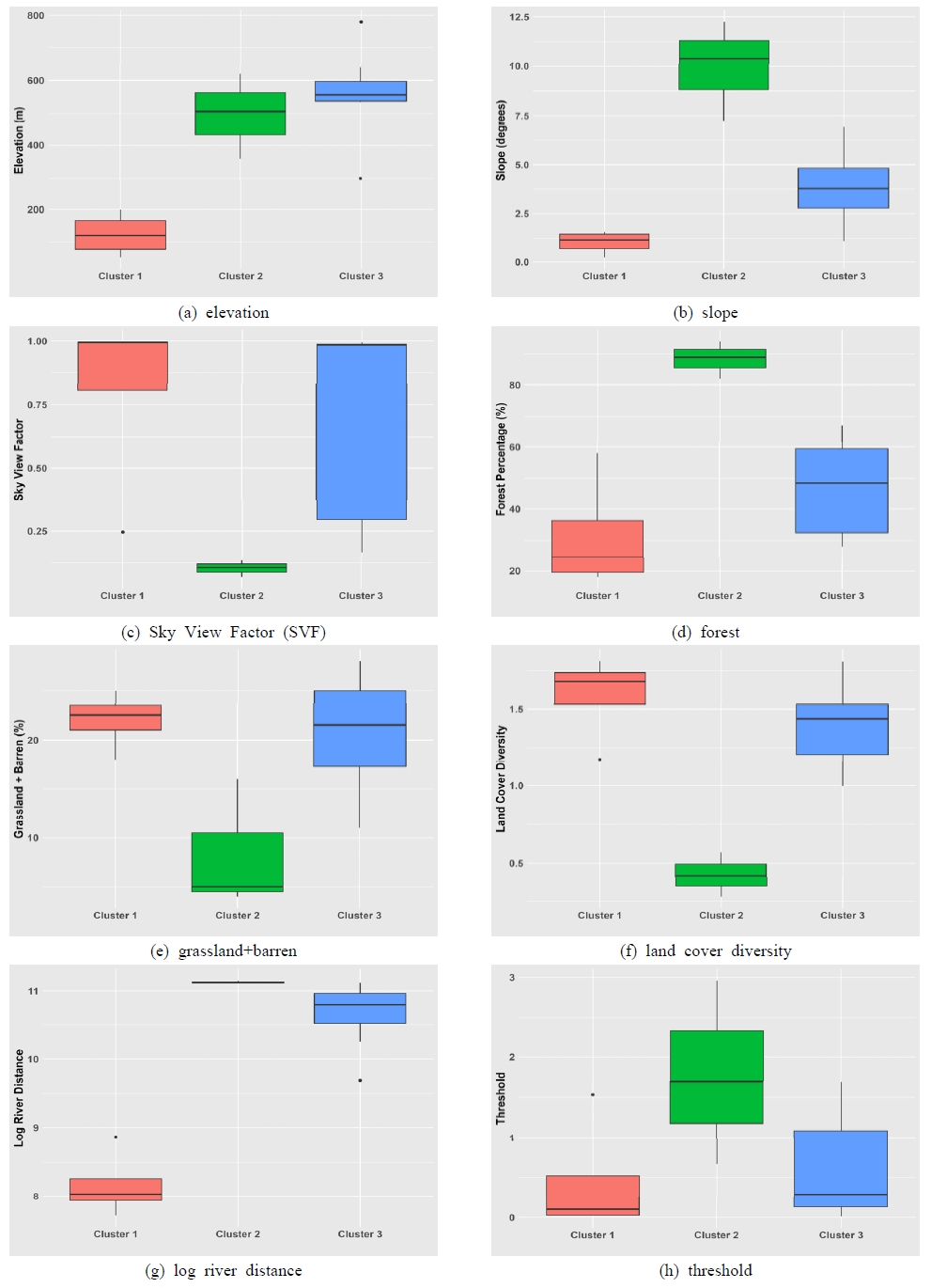
3.3. 군집분석 결과: 지형 특성 유형에 따른 안개 발생 임곗값의 구조적 차이

K-means 군집분석(k=3) 결과, 연구대상 CCTV 지점들은 뚜렷한 지형적 특성에 따라 세 개의 군집으로 분류되었다(Fig. 4). 세 군집은 각각 저지대 개활지형(군집 1), 산림 계곡지형(군집 2), 중고지대 완만지형(군집 3)으로 구분되었으며, 각 군집은 고도·경사·천개지수(SVF)·피복 특성의 조합이 상이하게 나타나 안개 발생 임곗값의 차이를 구조적으로 설명하였다(Table 4, Fig. 5). 이는 서론에서 제기한 바와 같이, 단일 기상변수가 아닌 지형·피복·미기상 요소의 복합성이 도로안개 발생 조건을 규정한다는 가설과 일치하는 결과이다.

Fig. 4.

Cluster number selection

Characteristics of each cluster

Fig. 5.

Boxplots of terrain variables by cluster

군집 1은 ‘저지대 개활지형’ 유형으로, 평균 고도가 가장 낮고(123 m), 경사는 거의 평지에 가까우며(1.0°), SVF가 가장 높아(0.81) 하늘 개방도가 큰 특징을 보인다. 산림 비율은 가장 낮고(31%), 대신 초지·나지 비율과 피복 다양성(1.59)이 상대적으로 높아 주변 지표가 균질하지 않은 개활지 환경을 이룬다. 이러한 조건은 야간 복사냉각이 효과적으로 작동하여 지면층에서 빠르게 포화 조건을 형성하기 때문에, 상대적으로 작은 T–Td에서도 안개가 발생한다. 실제로 이 군집의 평균 임곗값은 0.44°C로 가장 낮아, 안개 형성에 매우 민감한 특성을 나타냈다.

군집 2는 ‘산림 계곡형’ 특성을 나타내며, 평균 고도는 중간 수준이지만(495 m), 경사가 크고(9.95°) SVF가 0.10으로 가장 낮아 지형적 밀폐도가 강하다. 산림 비율 역시 가장 높아(88%) 단일 피복이 우세한 산림지형 구조를 보인다. 그러나 고도가 높고 경사가 큰 산림 계곡지형에서는 냉기 저류가 이루어지기 전에 지형풍·이류교란이 상대적으로 강해지면서, 충분한 복사냉각이 유지되기 어렵다. 이로 인해 안개가 형성되기 위해서는 더 작은 T–Td 조건이 필요하지 않고, 오히려 더 큰 T–Td 구간에서 안개가 발생한 것으로 관측되었다(평균 1.77°C). 이는 ‘계곡=안개’라는 단순 도식과는 달리, 산림 구조·지형풍·열적 비균질성이 결합된 환경의 조건에서 상대적으로 높은 임곗값이 관찰되었음을 보여준다.

군집 3은 ‘중고지대 완만지형’으로, 고도가 가장 높지만(569 m), 경사는 상대적으로 완만하고(3.93°) SVF는 중간 수준(0.71)으로 하늘 개방도가 과도하게 제한되지 않는다. 산림 비율과 초지·나지 비율, 피복 다양성 모두 중간 수준을 보이며, 임곗값도 0.61°C로 세 군집 중 중간 범위를 나타낸다. 즉, 복사냉각·지형풍·습도 공급이 어느 한 방향으로 극단적이지 않은 ‘중간적 환경’으로, 안개 형성 요인이 혼재한 지형범주로 해석된다.

군집분석 결과를 통해서, 도로안개 발생 임곗값의 공간적 변이가 단순한 고도나 지형 단일 항목이 아니라, 하늘 개방도·피복 구성·지형 기울기와 같은 국지적 환경 요인의 조합에 의해 달라질 수 있음을 보여주었다. 특히 저지대 개활지에서는 매우 작은 T–Td에서도 안개가 형성된 반면, 산림이 우세한 고지 계곡지형에서는 오히려 임곗값이 크게 나타나는 등, 도로안개는 지형·피복·미기상 요소의 복합적 요인에 의해서 발생하는 것으로 분석되었다.

3.4. Random Forest–SHAP 결과: 주요 지형·피복 요인의 영향 구조

Random Forest 회귀모형은 T–Td 임곗값을 높은 정확도로 설명하였으며(R2 > 0.85), SHAP 분석을 통해 변수별 영향력과 방향성을 정량적으로 해석하였다(Fig. 6). SHAP 값이 양수일수록 해당 변수가 임곗값을 증가시켜 안개 발생을 어렵게 만드는 방향으로 작용하며, 음수일 경우 임곗값을 감소시켜 안개가 쉽게 형성되는 방향으로 기여한다.

Fig. 6.

SHAP summary plot: Variable importance and impact direction

첫 번째로 중요한 변수는 초지+나지 비율(grassland+barren)로, 모든 변수 중 가장 높은 중요도를 나타냈으며, 높은 값(붉은 색)이 주로 SHAP 음수 영역에 분포하였다. 이는 초지·나지 면적이 넓은 지역일수록 임곗값이 감소하여, 상대적으로 작은 T–Td에서도 안개가 형성되기 쉬움을 의미한다. 개활지 기반의 단열 냉각 및 수증기 재분포가 활발하게 일어나는 저지대의 평탄한 환경이 안개 발생을 촉진하는 것으로 해석된다.

두 번째로 중요한 변수는 경사(slope)로, 경사 값이 높은 지점이 주로 양수 영역에 위치하여 급경사 지형일수록 임곗값이 증가하고 안개 발생이 어려워짐을 나타냈다. 경사가 클수록 찬 공기가 정체되지 못하고 능선·사면 방향으로 빠르게 흘러내려 복사냉각 기반의 응결 조건이 약화되는 지형기상학적 특성과 일치한다.

세 번째로 중요한 변수인 피복 다양성(land cover diversity)은 다양성이 높은 지점일수록 SHAP 값이 음수 영역에 분포하여 임곗값을 감소시키는 경향이 확인되었다. 이는 곧 피복이 다양한 지역에서는 안개가 상대적으로 작은 T–Td에서도 발생했음을 의미하며, 이러한 경향은 저고도 평지에서 다양한 토지피복(초지·나지·수역·도로 등)이 혼재하는 환경과 일치한다. 반대로 SHAP 플롯에서 피복 다양성이 낮은 지점들은 주로 양수 영역에 위치했으며, 이는 해당 지점에서 안개가 발생하기 위해서는 더 큰 T–Td (즉, 더 강한 포화 조건)가 요구되었음을 보여준다. 이러한 낮은 다양성 구간은 대부분 산림이 지배적인 중·고지대 지형과 대응한다.

피복 다양성의 구조적 의미는 추가적으로 수행한 두 가지 분석을 통해 더욱 명확하게 확인되었다(Fig. 7). 첫째, 피복유형 수와 피복 다양성의 관계를 나타낸 박스플롯은 피복유형의 종류가 많아질수록 피복 다양성이 일관되게 증가함을 보여준다(Fig. 7(a)). 즉, 피복유형이 3개인 지점은 피복 다양성이 0.5 이하로 낮은 반면, 6 ~ 8개의 유형을 포함한 지점들은 피복 다양성이 1.5 이상으로 높게 나타나, 피복 다양성이 단순 비율뿐 아니라 피복의 종류 다양성과 균형도를 반영하는 지표임을 확인할 수 있다. 둘째, 피복 다양성 등급별(low, medium, high) 피복유형을 나타낸 히트맵에서는 이러한 특성이 더욱 뚜렷하게 나타났다(Fig. 7(b)). 피복 다양성이 낮은 지점들(low)은 산림 비중이 매우 높아 사실상 단일 피복 구조였던 반면, 피복 다양성이 높은 지점들(high)은 산림·초지·나지·수역 등이 보다 균형적으로 섞여 있어 지표면의 이질성이 큰 환경을 이루고 있었다. 실제로 피복 다양성이 높은 지역은 대체로 저고도 평지에 위치하며 다양한 피복이 공존하여 냉각·습도 공급 조건이 보다 다양하게 충족되면서 상대적으로 작은 T–Td에서도 안개가 형성되는 경향을 보였다. 반대로 피복 다양성이 낮은 지역은 고지대의 산림이 지배적인 단일 피복 환경과 대응되었으며, 이와 같은 환경에서는 지형풍의 발달과 공기 혼합의 강화, 지표면 열·습 조건의 단순화로 인해 국지적인 포화 상태 형성이 상대적으로 제한될 수 있다. 이러한 특성으로 인해 해당 지점들에서는 안개가 실제로 발생한 경우에도 비교적 큰 T–Td 값이 관측된 것으로 해석된다.

Fig. 7.

Boxplot and heatmap related to land cover diversity

하천까지의 거리(log river distance), 천개지수(Sky View Factor, SVF), 산지면적 비율(forest), 고도(elevation) 역시 임곗값 결정에 유의한 영향을 보였으나 중요도는 상대적으로 낮았다. 하천에 가까운 지점과 SVF가 낮은 지점(계곡)은 SHAP 음수 영역에 집중되어 임곗값을 감소시키며, 하천에서 멀어지고 SVF가 높은 개활지는 양수 영역에 위치하여 더 큰 임곗값을 요구하였다. 산림비율과 고도는 전반적으로 값이 높을수록 양수 영역으로 이동하여 임곗값 증가에 기여하였는데, 이는 고산·산림 지역에서의 공기 혼합, 기류 흐름 강화, 복사냉각 약화가 복합적으로 작용한 결과로 해석된다. 전반적으로 SHAP 분석 결과는 LOESS 분석 및 군집분석에서 나타난 지형·피복 요인별 비선형성과 공간적 차이를 정량적으로 뒷받침하며, 저지대 평지·다양한 피복·하천 인접 지역에서는 작은 냉각으로도 안개가 형성되지만, 고지대·급경사·산림 지역에서는 더 큰 냉각이 요구된다는 것을 확인하였다.


4. 고찰

4.1. 학술적 및 실용적 의의

본 연구는 도로 환경에서 발생하는 안개를, 기존의 기상관측소 중심 접근에서 나아가 도로 CCTV 기반 실측 안개자료를 직접 활용하였다는 점에서 의미가 있다. 이를 통해 개별 지점에서 실제로 발생한 안개 사례와 해당 시점의 기온–이슬점온도(T–Td) 임곗값을 산출하고, 이를 지형·피복·미기상 요인과 연계하여 분석함으로써, 안개 발생 조건이 단일 기상요인에 의해 일률적으로 결정되지 않음을 알 수 있었다. 이는 기온–이슬점온도(T–Td) 임곗값이 CCTV 기반 안개 감지에 대응하는 지점별 상대 지표로서, 지형·피복 조건과 상호작용하는 비선형 구조 속에서 형성된다는 점을 알 수 있었다. 이러한 접근은 도로 현장을 기반으로 한 고해상도 자료 분석이 상대적으로 부족했던 기존 안개 연구의 한계를 보완하며, 향후 관련 연구에서 참고 가능한 새로운 분석 틀을 제공한다.

또한 본 연구의 결과는 실무적 측면에서도 활용 가능성이 높다. 첫째, T–Td 임곗값의 공간적 변이를 정량화함으로써 도로안개 취약 구간을 과학적으로 식별할 수 있는 근거자료를 마련하였다. 둘째, 지형 유형에 따라 안개 발생 임계조건이 달라진다는 점을 확인함으로써, 향후 지형 맞춤형 경보 및 관리전략을 설계할 수 있는 방향성을 제시하였다. 특히 SHAP 분석을 통해 도출된 변수별 영향 구조는 도로 유지관리 기관이 위험구간을 평가하고 대응 전략을 수립할 때 유용한 해석 근거가 된다. 셋째, 본 연구가 제시한 실측자료–기상자료–지형자료의 통합 분석 프레임워크는 국지지형 기반의 위험기상 예측 및 도로 안전 관리 체계 구축의 기초자료로 활용될 수 있다.

본 연구는 도로안개를 설명하기 위한 새로운 공간–지형–미기상 통합 분석 접근법을 제시하였으며, 도로 환경에서의 안개 발생 메커니즘과 공간적 변이를 해석하는 데 기여한다. 나아가 기후변화로 인해 변동성이 높아지는 도로 미기상 조건을 고려한 향후 예측·관리 체계 구축의 기반을 제공한다는 점에서 학술적·실용적 의의를 갖는다.

4.2. 향후 연구 과제

본 연구는 도로 CCTV 기반의 실측 안개자료와 기상·지형 정보를 통합하여 T–Td 임곗값의 공간적 변이를 정량화하고, 지형·피복 요인의 상호작용을 규명하였다는 점에서 의미 있는 기여를 하였으나, 몇 가지 한계도 존재한다. 이를 보완하기 위한 향후 연구과제는 다음과 같다.

첫째, 본 연구는 CCTV 영상의 수집 시간 단위와 기상자료 사이의 시간 해상도 불일치가 존재한다. 따라서 향후에는 CCTV 영상을 시계열 단위의 연속적인 자료로 수집하여, 시간적 정밀도를 높임으로써, 안개 발생 전후의 미세한 미기상 변화를 보다 정확히 분석할 필요가 있다.

둘째, 본 연구는 지형·피복 요인의 영향 규명에 중점을 두었기 때문에, 경계층 안정도, 구름량, 상층 기단 특성 등 안개 형성에 중요한 대기요인을 직접적으로 통제하지 못하였다. 후속 연구에서는 수치예보모델에서 생성되는 경계층 자료 또는 고층관측을 활용하여, 지형–대기 간 상호작용을 더욱 정교하게 설명할 필요가 있다.

셋째, 본 연구 대상은 영동고속도로 구간으로 한정되어 있어, 산악형·연안형·도시형 등 다양한 도로환경으로 일반화하는 데에는 제약이 있다. 향후에는 지형 특성이 상이한 다른 도로구간으로 분석 범위를 확장함으로써, 본 연구에서 제시한 T–Td 임곗값 구조가 지역 간에도 일관되게 나타나는지 검증할 필요가 있다.

마지막으로, SHAP 기반 해석은 변수의 상대적 영향 방향을 효과적으로 보여주지만, 데이터 분포 및 지형적 맥락에 따라 해석이 달라질 가능성이 여전히 존재한다. 따라서 향후에는 군집별·지형유형별 별도의 SHAP 분석이나 교차검증을 수행하여 설명력의 안정성을 높이는 방향이 요구된다.

이러한 개선을 통해, 본 연구에서 제시한 도로안개 발생 분석틀은 보다 다양한 환경조건에서의 적용 가능성과 예측력을 확보할 수 있으며, 도로안개 위험관리 및 기후변화 대응 전략 개발에 더욱 실질적인 기여를 할 수 있을 것이다.


5. 결론

본 연구는 영동고속도로의 CCTV 기반 실측 안개자료를 기상·지형·피복 정보와 통합하여, 실제 안개가 발생한 시점에서 기온–이슬점온도 차이(T–Td) 임곗값이 지점별로 어떻게 달라지는지를 정량적으로 분석하였다. 그 결과, 동일한 응결(안개) 현상이 발생한 상황이라 하더라도, 필요한 T–Td 범위는 주변의 지형·피복 구조와 국지적 미기상 조건에 따라 크게 달라짐이 확인되었다.

임곗값이 작은 지점은 주로 저지대의 개활지형, 완만한 지표면, 하천 인접 지역 등으로, 야간 복사냉각·수증기 공급·공기 정체가 쉽게 형성되는 환경이었다. 이러한 곳에서는 공기가 거의 포화상태에 근접하는 작은 T–Td만으로도 응결이 시작되어 안개가 형성될 수 있는 것으로 해석된다. 반면 임곗값이 크게 나타난 지점은 고도가 높고 경사가 큰 지형, 산림 피복 비중이 높은 지역 등으로, 난류 증가, 지형풍 유입, 식생층에 의한 열·습 조절 등으로 인해 포화 도달이 상대적으로 늦어지거나 다양한 조건에서도 안개가 발생할 수 있는 복합적인 미기상 구조를 형성하는 것과 관계가 있을 것으로 나타난다. 즉, 안개가 실제로 형성된 이후의 T–Td 값이 더 크게 나타난다는 것은, 해당 지점에서는 응결이 지연되거나 더 복잡한 조건에 의해 안개 발생이 유도됨을 의미한다.

본 연구는 안개 발생을 단순히 “기온과 이슬점이 거의 같아지는 조건”으로 환원하기 어렵다는 점을 보여준다. 도로 주변의 지형 구조, 토지피복의 구성, 하천 및 계곡의 존재, 난류 및 공기 혼합의 정도 등은 응결이 시작되는 임계 조건을 변화시키며, 이로 인해 동일한 안개 현상이라도 지역별로 서로 다른 T–Td 임곗값이 나타난다는 점이 규명되었다. 이는 도로안개 예측과 위험도 평가에서 국지지형과 지표 특성을 반영하는 접근이 필수적임을 시사하며, 기존의 기상요인 중심 예측 체계를 보완하는 중요한 근거를 제공한다.

Acknowledgments

본 연구는 행정안전부의 재난안전부처협력기술개발사업(R&D)[RS-2025-02311088]의 지원을 받아 수행되었습니다.

References

  • Cleveland WS. 1979. Robust locally weighted regression and smoothing scatterplots. J Am Stat Assoc 74(368): 829-836. [https://doi.org/10.1080/01621459.1979.10481038]
  • Danielson RE, Zhang M, Perrie WA. 2020. Possible impacts of climate change on fog in the Arctic and Subpolar North Atlantic. Atmos Sci Lett 21(3): e952. [https://doi.org/10.5194/ascmo-6-31-2020]
  • Eugster W. 2001. Mountain meteorology: Fundamentals and applications. Mountain Res Dev 21(2): 200-201. [https://doi.org/10.1659/0276-4741(2001)021[0200:MMFAA]2.0.CO;2]
  • Forster PM, Smith C, Walsh T, Lamb WF, Lamboll R, Cassou C, Hauser M, Hausfather Z, Lee JY, Palmer MD, et al. 2025. Indicators of global climate change 2024. Earth Syst Sci Data 17: 2641-2694. [https://doi.org/10.5194/essd-17-2641-2025]
  • Gorzelanczyk P. 2025. Impact of weather conditions and road type on traffic safety. Eur Transp Stud 2: 100042. [https://doi.org/10.1016/j.ets.2025.100042]
  • Gultepe I, Tardif R, Michaelides SC, Cermak J, Bott A, Bendix J, Müller MD, Pagowski M, Hansen B, Ellrod G, Jacobs W, Toth G, Cober SG. 2007. Fog research: A review of past achievements and future perspectives. Pure Appl Geophys 164: 1121-1159. [https://doi.org/10.1007/978-3-7643-8419-7_3]
  • Hůnová I, Brabec M, Malý M, Dumitrescu A, Geletič J. 2021. Environmental and geographical effects on fog occurrence. EGU General Assembly 2021. EGU21-5810. [https://doi.org/10.5194/egusphere-egu21-5810]
  • Hůnová I, Brabec M, Malý M, Valeriánová A. 2018. Revisiting fog as an important constituent of the atmosphere. Sci Total Environ 636: 1490-1499. [https://doi.org/10.1016/j.scitotenv.2018.04.322]
  • IPCC. 2021. Climate change 2021: The physical science basis. Cambridge University Press. [https://doi.org/10.1017/9781009157896]
  • Lal AK, Mohan M, Kunchala RK, Das C. 2025. Urbanisation-driven shifts in fog patterns and fog hole formation in the Indo-Gangetic Plain. Weather 80(12): 419-427. [https://doi.org/10.1002/wea.7670]
  • Lawrence MG. 2005. The relationship between relative humidity and the dewpoint temperature in moist air: A simple conversion and applications. Bull Am Meteorol Soc 86(2): 225-234. [https://doi.org/10.1175/BAMS-86-2-225]
  • Li X, Chen Y, Li J. 2021. Highway visibility estimation using convolutional neural networks. Sensors 21(12): 4123. [https://doi.org/10.20408/jti.2020.0063]
  • Nagendra H. 2002. Opposite trends in response for the Shannon and Simpson indices of landscape diversity. Appl Geogr 22(2): 175-186. [https://doi.org/10.1016/S0143-6228(02)00002-4]
  • Pérez-Díaz JL, Ivanov O, Peshev Z, Álvarez-Valenzuela MA, Valiente-Blanco I, Evgenieva T, Dreischuh T, Gueorguiev O, Todorov PV, Vaseashta A. 2017. Fogs: Physical basis, characteristic properties, and impacts on the environment and human health. Water 9(10): 807. [https://doi.org/10.3390/w9100807]
  • Song J, Tian H, Yuan X, Gao J, Yin X, Wang Z, Qian M, Zhang H. 2023. Study on risk prediction model of expressway traffic accident under foggy weather. Atmosphere 14(6): 960. [https://doi.org/10.3390/atmos14060960]
  • Stull R. 2017. Practical meteorology. University of British Columbia. https://www.patarnott.com/atms360/pdf_atms360/class2017/Met_Book_Free.pdf

Fig. 1.

Fig. 1.
Distribution of CCTV and meteorological observation sites along the Yeongdong Expressway

Fig. 2.

Fig. 2.
CCTV-based fog occurrence images by observation site

Fig. 3.

Fig. 3.
LOESS smoothing curves for terrain variables vs threshold

Fig. 4.

Fig. 4.
Cluster number selection

Fig. 5.

Fig. 5.
Boxplots of terrain variables by cluster

Fig. 6.

Fig. 6.
SHAP summary plot: Variable importance and impact direction

Fig. 7.

Fig. 7.
Boxplot and heatmap related to land cover diversity

Table 1.

Data and variables used in this study

Category Data Source Variables Used Period Source
Image Data CCTV Images Locations of 15 CCTV sites 2015.10 ~ 2017.07 Ministry of Land, Infrastructure and Transport
Fog occurrence
Meteorological Data Automated Synoptic Observing System (ASOS) Air temperature, Relative humidity, Wind speed, Wind direction, Daily precipitation, Hourly precipitation, Surface pressure, Sea-level pressure, Dew-point temperature 2015.10 ~ 2017.07 Korea Meteorological Data Portal
Automatic Weather Station (AWS) 2015.10 ~ 2017.07 Korea Meteorological Data Portal
Topographic·Terrain Data Land Cover Map Forest - Environmental Geographic Information Service
Grassland
Barren
Land Cover Diversity
Digital Topographic Map Elevation - National Geographic Information Institute
Slope
Derived from elevation
Sky View Factor (SVF)
River Map Log River Distance 2021. 11 National Geographic Information Institute

Table 2.

CCTV sites used in this study (orange cells indicate the locations where fog occurrence thresholds were determined)

CCTV_NAME CCTV_LAT CCTV_LON THRESHOLD
Gangneung Service Area
(Gangneung Direction)(강릉휴게소(강릉))
37.757339 128.805773
Gangneung Service Area
(Incheon Direction)(강릉휴게소(인천))
37.755000 128.796940 0.1726
Gyohang No.1 Bridge (교항1교) 37.439258 128.022621 0.1786
Gyohang-ri (교항리) 37.431019 128.008583
Norim-ri No.1 (노림리1) 37.254444 127.766111
Daegwallyeong (대관령) 37.678889 128.695833
Daegwallyeong No.4 Tunnel
(Gangneung Outbound)(대관령4터널(강릉외부))
37.674310 128.774158
Daegwallyeong No.4 Tunnel
(Incheon Outbound)(대관령4터널(인천외부))
37.678607 128.774099 1.6937
Daegwallyeong No.7 Tunnel (대관령7터널) 37.702738 128.770302 2.9575
Dunnae Tunnel
(Gangneung Outbound)(둔내터널(강릉외부))
37.527933 128.285322 0.0138
Munmak No.1 (문막1) 37.319681 127.835904 0.0282
Bogwang-ri (보광리) 37.744720 128.789170
Bongpyeong Tunnel
(Gangneung Outbound)(봉평터널(강릉외부))
37.561610 128.379010
Sapgyo-ri (삽교리) 37.518610 128.254720
Seongsan No.2 Bridge (성산2교) 37.723457 128.777817 0.6640
Sosa-ri (소사리) 37.469442 128.151067 1.4227
Soksa (속사) 37.633159 128.492875
Ssarijae (싸리재) 37.681097 128.654838
Yeoju (여주) 37.252290 127.650020
Yongjeon-ri (용전리) 37.604313 128.425265
Wonju (원주) 37.400898 127.950418 1.5315
Woljeong-ri (월정리) 37.665058 128.595129 0.9762
Yucheon-ri (유천리) 37.671670 128.628890 0.0138
Jeokgeum Rest Area (적금졸음쉼터) 37.253553 127.700438
Jinbu (진부) 37.652440 128.563270 0.3481
Jinbu No.2 Tunnel
(Incheon Outbound)(진부2터널(인천외부))
37.646434 128.539635
Jinbu No.3 Tunnel
(Gangneung Outbound)(진부3터널(강릉외부))
37.647880 128.549910
Jinbu-ri (진부리) 37.670278 128.614167
Pyeongchang Interchange (평창IC) 37.590545 128.413892 0.2197
Pyeongchang Service Area
(Gangneung Direction)(평창휴게소(강릉))
37.606544 128.450333 1.6918
Pyeongchang Service Area
(Incheon Direction)(평창휴게소(인천))
37.613225 128.465954
Huyong-ri (후용리) 37.275215 127.802690 0.0285

Table 3.

Descriptive statistics of topographic variables and fog occurrence T–Td thresholds for the 15 sites

Variable Mean SD Min Median Max
Elevation 430.91 223.29 52.83 534.74 779.49
Forest Percentage 51.33 24.87 18.00 51.00 94.00
Grassland + Barren 18.67 7.42 4.00 21.00 28.00
Land Cover Diversity 1.25 0.50 0.28 1.43 1.81
Log River Distance 10.08 1.28 7.71 10.69 11.15
Slope 4.36 3.62 0.24 3.72 12.25
Sky View Factor 0.61 0.42 0.07 0.98 1.00
Threshold 0.80 0.89 0.01 0.35 2.96

Table 4.

Characteristics of each cluster

Cluster N Mean_
Threshold
SD_
Threshold
Mean_
Elev
Mean_
Slope
Mean_
SVF
Mean_
Forest
Mean_
Grass_Barren
Mean_
Diversity
Mean_river_
dist
1 4 0.44 0.73 123.19 1.02 0.81 31.25 22.00 1.59 8.16
2 3 1.77 1.15 494.82 9.95 0.10 88.33 8.33 0.42 11.13
3 8 0.61 0.66 560.81 3.93 0.71 47.50 20.88 1.39 10.65