
리튬 무역의 공급망 구조와 무역 조정 메커니즘에 대한 실증 분석: 가격·물량·조달 경로를 중심으로
Abstract
This paper examines how supply chain structure shapes adjustment in lithium trade, focusing on prices, import quantities, and sourcing patterns. The analysis evaluates whether lithium imports adjust to short-run market signals or are primarily constrained by existing supply chain structures. To address this question, the paper adopts a two-step empirical strategy. First, the paper employs a vector error correction model (VECM) to analyze aggregate lithium imports. This approach evaluates whether short-term movements in prices and exchange rates lead to quantity adjustments that restore long-run equilibrium relationships. Second, a structural gravity model is used to examine how adjustment operates in bilateral trade across countries, products, and supplier relationships. This framework allows the analysis to assess the role of supply chain concentration, dependence on specific supplier countries, and supplier-side institutional quality in shaping trade flows. The empirical results indicate that lithium imports exhibit limited responsiveness to short-term price and exchange rate shocks. Instead, trade flows are largely determined by structural factors, including technological necessity, persistence in established supplier relationships, and reliance on a small number of major suppliers. Gravity estimates further show that supply chain concentration and supplier institutional quality significantly affect trade volumes, with heterogeneous effects across lithium products and importing country groups. These findings imply that effective critical mineral policy should prioritize supply chain resilience and industrial security, taking into account product-specific characteristics, value chain stages, and supplier-side institutional risks.
Keywords:
Critical Minerals, Lithium Trade, Supply Chain Structure, Trade Adjustment Mechanism, Energy Transition1. 서론
기후변화 대응을 위한 국제사회의 탄소중립 기조가 확산되면서, 2050년을 목표로 에너지 시스템 전반에서 구조적 전환이 가속화되고 있다. 화석연료 중심의 기존 에너지 체계에서 벗어나 전기화(electrification)를 기반으로 한 무탄소·저탄소 에너지로의 전환이 본격화되면서, 전기차와 이차전지 산업은 에너지 전환의 핵심 수단으로 부상하였다. 이에 따라 리튬은 전력·교통·산업 전반의 구조 전환을 좌우하는 핵심 전략 광물로 자리매김하고 있다.
2024년 글로벌 리튬 수요는 전년 대비 약 30% 증가하여 2010년대 평균 증가율을 크게 상회하였다(IEA, 2025). 이러한 수요 증가는 대부분 전기차, 배터리 저장, 재생에너지 등 에너지 전환 부문에서 발생하고 있으며, 리튬은 더 이상 특정 산업에 국한된 원자재가 아닌 에너지 시스템 전환의 핵심 투입재 역할을 하고 있다.
그러나 글로벌 리튬 시장은 안정적인 공급 구조를 갖추었다고 보기 어렵다. 최근 중국을 중심으로 한 공급 확대와 신규 생산능력 증가는 단기적으로 리튬 가격의 급락으로 이어졌다. 2021 ~ 2022년 급등했던 리튬 가격은 2023년 이후 80% 이상 하락하여 팬데믹 이전 수준으로 돌아갔다. 이러한 가격 하락은 공급 과잉의 신호보다, 신규 투자와 공급 다변화를 위축시키는 요인으로 작용하고 있다. IEA (2025)는 현재의 낮은 가격 수준이 장기적인 투자 유인을 제공하지 못하며, 특히 신규 진입자와 대체 공급원 개발에 대한 불확실성이 확대되고 있다고 지적한다.
공급망 구조 측면에서 리튬은 가치사슬 단계별로 시장 집중도가 다르게 나타난다. 채굴 단계에서는 일부 신흥 생산국의 진입으로 다변화 가능성이 제한적이지만, 정제·가공 단계에서는 여전히 높은 지역적 집중도가 나타난다. 특히 중국은 정제 및 배터리 재활용 부문에서 지배적인 위치를 차지하고 있으며, 이는 지정학적 충격이나 정책 변화에 따른 공급 차질 위험을 증폭시키는 구조적 취약성으로 이어진다. IEA (2025)의 분석에 따르면, 현재와 같이 공급이 충분해 보이는 상황에서도 최대 공급국이 배제될 경우 리튬 포함 배터리 금속의 글로벌 공급은 잔여 수요의 절반 정도밖에 충족하지 못한다.
이러한 글로벌 환경 속에서 한국과 같은 리튬 수입 의존 국가는 특히 취약한 위치에 놓여 있다. 한국은 전기차 및 이차전지 산업에서 세계적인 생산국이지만, 리튬 자원의 상당 부분을 해외에 의존하고 있으며 특정 공급국에 대한 의존도가 높은 구조를 가지고 있다. 이에 따라 리튬 공급망의 안정성과 다변화 가능성은 단순한 원자재 조달 문제를 넘어 산업 경쟁력과 에너지 안보를 좌우하는 핵심 정책 과제로 부상하고 있다.
핵심광물 무역과 공급망, 시장 구조를 대상으로 한 연구는 이미 상당히 축적되어 왔다. 기존 문헌은 주로 리튬을 포함한 핵심광물 공급망을 대상으로 지정학적·물류적 리스크를 분석하거나, 가격 변동이 수요와 거시경제 변수에 미치는 파급효과와 탄력성을 추정하는 데 초점을 두어 왔다. 네트워크 분석이나 중력모형을 활용한 연구들은 특정 국가에 대한 공급 집중도, 지정학적 리스크, 무역협정 및 정책 도구가 광물 무역과 공급망 회복탄력성에 미치는 영향을 분석하였으며(Hao et al., 2023; Kim and Jeong, 2024; Stender and Vogel, 2025; Tian et al., 2021; Yaseen et al., 2025), 가격 중심의 계량경제학적 연구들은 핵심광물 수요의 비탄력성과 가격 충격의 장기적 전이 효과를 실증적으로 제시하였다(Fernandez, 2018; Park et al., 2025; Shojaeddini et al., 2024).
다만 기존 연구들은 리튬 공급망의 리스크를 가격 변동성, 단기적인 물량 충격, 또는 개별적인 제도 요인 등으로 나누어 분석하는 경향이 있다. 이로 인해 공급망 구조가 가격, 물량, 조달 방식이라는 여러 경로를 통해 무역 조정 과정에 어떻게 작용하는지를 종합적으로 검토한 연구는 아직 제한적이다. 특히 수입국의 특정 공급국에 대한 의존 정도와 해당 공급국의 제도적 안정성이 결합될 경우 나타나는 공급망의 질적 취약성이 가격 변동 환경 속에서 무역 흐름과 조달 구조의 조정에 어떠한 영향을 미치는지를 실증적으로 다룬 연구는 부족한 편이다.
이에 본 연구는 리튬 무역을 대상으로 공급망 구조가 무역 조정에 미치는 영향을 가격, 물량, 그리고 조달 구조라는 세 가지 경로로 구분하여 분석한다. 먼저 가격 신호가 시장 차원에서 수입 조정을 유도할 수 있는지를 검증하고, 이러한 조정 가능성이 실제 무역에서 국가·품목·공급국 수준에서 어떻게 나타나는지를 실증적으로 분석한다. 공급망 집중도와 공급국의 제도적 안정성을 결합한 공급망 취약성 지표를 활용함으로써, 단순한 공급망 다변화 여부가 아니라 조달 대상 국가의 특성이 무역에 어떠한 영향을 미치는지를 정량적으로 규명한다는 점에서 기존 연구와 차별성을 가진다.
본 논문의 구성은 다음과 같다. 제2장에서는 리튬의 글로벌 공급망 구조와 가치사슬 단계별 특성을 살펴본다. 제3장에서는 실증분석 모형과 데이터, 변수 정의를 제시한다. 제4장에서는 계량 분석 결과를 제시하고 주요 시사점을 논의하며, 마지막으로 제5장에서는 연구 결과를 종합하고 정책적 함의를 제시한다.
2. 리튬의 글로벌 공급망 구조 및 특성
2.1. 리튬 기반 전기차 가치사슬의 단계별 무역 구조
리튬 공급망의 구조적 특성을 이해하기 위해서는 가치사슬 단계별 무역 흐름을 살펴볼 필요가 있다. Fig. 1은 2022년 기준 리튬을 투입재로 하는 전기차 가치사슬의 글로벌 무역 비중을 채굴(Extraction), 정제·가공(Processing), 부품·소재 제조(Manufacturing of parts), 최종 수요(End users) 단계로 구분하여 나타낸 것으로, 리튬 공급망은 단계별로 참여 국가와 비중이 상이하게 나타나며 이러한 구조적 분화는 리튬 수입 의존 국가의 조달 경로와 선택지에 제약 요인으로 작용할 수 있다(UNTCAD, 2023).
Shares of lithium trade by stage and country in the global lithium-based EV value chain, 2022 (%)Source: UNCTAD (2023).Note: Each stage is constructed by aggregating trade data at the HS 6-digit level corresponding to the lithium value chain: Extraction (HS 253090, 283691); Processing (HS 282520, 282739, 282690, 282619); Manufacturing of battery materials and components (HS 284290, 284169, 382499, 850790, 850760); and End users (HS 870240, 870360, 870370, 870380).
먼저 채굴 단계에서는 리튬 광석 및 염수 기반 품목의 무역이 호주와 칠레를 중심으로 집중되어 있으며, 아르헨티나 등 일부 국가가 보조적인 공급국으로 참여하고 있다. 이는 리튬 자원 보유가 지리적으로 제한되어 있어, 상류 단계에서부터 공급국 선택지가 제한됨을 보여준다.
정제·가공 단계로 이동하면 무역 집중도는 더욱 심화된다. 중국은 수산화·산화 리튬 등 정제된 리튬 화합물의 핵심 공급국으로 나타나며, 다수의 채굴국으로부터 원료를 수입한 후 이를 정제·가공하여 하류 단계로 공급하는 중심적인 역할을 수행하고 있다. 일부 유럽 국가와 한국, 일본이 중간 유통 또는 보조적 역할을 수행하나, 전체적인 무역 구조는 중국을 중심으로 강하게 집중되어 있다. 이는 리튬 공급망의 병목이 단순한 자원 보유 여부가 아니라 정제·가공 능력에 의해 결정됨을 시사한다.
부품·소재 제조 단계에서는 배터리 소재 및 셀·팩 제조가 본격화되며, 한국과 중국이 핵심적인 역할을 수행한다. 한국은 리튬 자원은 수입에 의존하면서도 하류 제조 단계에서 경쟁력을 확보한 대표적인 국가로, 글로벌 배터리 가치사슬에서 중요한 위치를 차지하고 있다. 그러나 이 단계 역시 참여 국가 수가 제한적이며, 가치사슬 하류로 갈수록 진입 장벽이 높아지는 구조적 특성이 관찰된다.
최종 수요 단계에서는 전기차 및 플러그인 하이브리드 차량의 무역이 미국, 유럽 주요국, 캐나다 등 소수의 소비국을 중심으로 이루어진다. 이 단계에서는 단위가치가 크게 상승하는 반면, 생산과 무역은 특정 국가 및 지역에 집중되는 경향을 보인다.
결론적으로, 리튬 기반 전기차 가치사슬은 상류에서 하류로 이동할수록 무역 가치와 부가가치는 증가하는 반면, 정제·가공 이후 단계에서는 공급망이 소수 국가에 집중되는 구조를 보인다. 이러한 공급망 집중은 수입 의존 국가의 조달 구조를 구조적으로 제약하는 요인으로 작용한다.
2.2. 주요 리튬 화합물의 생산 특성과 공급망 리스크
리튬 가치사슬의 구조적 특성을 보다 구체적으로 분석하기 위해, 본 연구는 상류와 중류 단계를 대표하는 핵심 품목으로서 수산화·산화 리튬(HS 282520)과 탄산 리튬(HS 283691)을 분석 대상으로 설정한다. 탄산 리튬은 리튬 광석 및 염수(brine)로부터 1차적으로 생산되는 대표적인 리튬 화합물로, 리튬 가치사슬의 채굴 단계와 가장 밀접하게 연결된 품목이다. 수산화·산화 리튬은 탄산 리튬 또는 리튬 광석을 추가로 정제·가공하여 생산되는 중간재로, 고에너지밀도 배터리용 양극재 제조에 필수적인 투입재로 활용된다.
수산화·산화 리튬과 탄산 리튬은 동일한 리튬 원소를 기반으로 하나, 생산 원천과 화학적 특성의 차이로 인해 배터리 산업 내 역할이 명확히 구분된다(Table 1). 수산화·산화 리튬은 경암형 자원을 기반으로 하여 고온 가공 또는 추가 변환 공정을 거쳐 생산되며, 하이니켈(High-Nickel) 삼원계 배터리와 같은 고에너지 밀도 배터리에 주로 적용된다. 이러한 특성으로 인해 장거리 주행 전기차와 같은 고성능 전기차 분야에서 핵심 원료로 활용된다(Kelly et al., 2021; Lee et al., 2023). 반면, 탄산 리튬은 염수형 자원을 기반으로 자연 증발 및 화학적 침전 공정을 통해 생산되며, 화학적 안정성이 높아 물류 측면에서 장거리 해상 운송이 가능하다. 주로 LFP 배터리, 소형 가전·IT 기기용 배터리, 저·중니켈 삼원계 배터리 등 중·저에너지 밀도 배터리 분야에 주로 활용된다(Gielen and Lyons, 2022; Lee et al., 2023).
환경적 측면에서는 두 물질 간의 차이는 뚜렷하다. 수산화·산화 리튬은 광석 파쇄 및 고온 가열 과정에서 석탄과 같은 화석연료를 사용하는 반면, 탄산 리튬은 태양광을 활용한 자연 증발 공정으로 에너지 소비가 상대적으로 적다. 물 소비 측면에서도 수산화·산화 리튬은 담수 소비가 많고, 탄산 리튬은 염수 및 지하수 사용으로 인해 사막 지역의 수자원 고갈 우려가 있다(Kelly et al., 2021).
공급망 관점에서 수산화·산화 리튬은 수분 반응성으로 인해 장거리 운송이 어렵고, 정·제련 단계에서 중국 의존도가 매우 높은 구조를 가진다. 반면, 탄산 리튬은 화학적 안정성이 높아 남미 지역에서 직접 수입이 가능하며 상대적으로 공급망 유연성이 높은 특성을 보인다(Lee et al., 2023).
한국의 관점에서 이 두 품목은 리튬 공급망 안정성과 산업 경쟁력을 동시에 좌우하는 전략적 중요성을 가진다. 한국은 리튬 자원의 해외 수입 의존도가 높기 때문에 리튬 공급망의 취약성은 단순한 원자재 확보 문제가 아니라, 배터리 산업 전반의 생산 안정성과 직결되는 구조적 문제로 작용한다. 특히 탄산 리튬은 리튬 공급의 출발점에 해당하는 품목으로서, 특정 국가에 대한 수입 의존도가 높아질 경우 공급 차질이 전체 가치사슬 전반에 영향을 미칠 가능성이 크다.
특히 수산화·산화 리튬은 한국의 산업 구조와 더욱 직접적으로 연관이 있다. 고성능 전기차 배터리, 특히 니켈 함량이 높은 NCM 및 NCA 계열 양극재 제조에는 수산화·산화 리튬의 사용 비중이 높으며, 이는 한국 배터리 기업들이 글로벌 경쟁력 유지에 핵심적인 요소이다. 따라서 수산화·산화 리튬의 안정적인 조달 여부는 단순한 가격 문제뿐만 아니라, 한국 배터리 산업의 기술 선택과 생산 전략을 제약할 수 있다.
또한 이 두 품목은 글로벌 리튬 공급망에서 상이한 집중 구조를 보인다. 탄산 리튬은 채굴 단계에서 생산국이 비교적 분산되어 있는 반면, 수산화·산화 리튬은 정제·가공 능력이 특정 국가에 집중되어 있어 공급망 취약성이 더욱 크게 나타난다. 이에 따라 한국과 같은 수입 의존 국가는 상류 단계의 공급 안정성뿐 아니라, 중류 단계에서의 정제·가공 국가 선택과 조달 구조가 무역 결과에 미치는 영향을 면밀히 분석할 필요가 있다.
2.3. 한국의 리튬 수입 구조와 공급망 집중도
다음으로, 한국의 리튬 수입 구조가 시간에 따라 어떻게 변화해 왔는지를 국가별 수입 비중과 공급망 집중도의 관점에서 살펴본다. Fig. 2(a)는 수산화·산화 리튬, Fig. 2(b)는 탄산 리튬의 주요 공급국 별 수입 비중 변화를 보여준다. 수산화·산화 리튬의 경우, 초기에는 미국과 칠레의 비중이 상대적으로 높았으나, 2000년대 중반 이후 중국의 수입 비중이 빠르게 확대되며 주요 공급국으로 부상하였다. 이는 리튬 정제·가공 단계에서 중국의 역할이 강화된 글로벌 공급망 구조 변화를 보여준다.
Korea’s lithium import structure and supply-chain concentration, 1990-2024Source: Author’s illustration using data from UNCTAD (2025).
탄산 리튬의 경우, 칠레가 장기간에 걸쳐 한국의 핵심 공급국으로 유지되었으나, 특정 시기 이후 중국의 비중이 확대되며 공급 구조가 재편되는 양상이 관찰된다. 독일, 미국, 아르헨티나 등 일부 국가가 보조적인 공급국으로 등장하였으나, 전체 수입 구조에서 차지하는 비중은 제한적이다.
Fig. 2(c)와 Fig. 2(d)는 이러한 국가별 수입 비중 변화가 공급망 집중도(Herfindahl–Hirschman Index; 이하 HHI)와 수입 물량의 관계로 어떻게 나타나는지를 보여준다. 수산화·산화 리튬의 경우 수입 물량이 증가하는 시기에도 HHI가 높은 수준을 유지하거나 상승하는 구간이 관찰되며, 이는 수입 확대가 반드시 공급망 다변화로 이어지지 않았음을 시사한다. 탄산 리튬 또한 수입 물량 증가 국면에서 공급망 집중도가 높게 유지되는 경향을 보인다.
전반적으로 한국의 리튬 수입은 물량 측면에서는 확대되었으나, 공급망 구조는 오히려 특정 공급국에 대한 의존이 강화되는 방향으로 조정되어 왔다. 이는 리튬 공급망에서 관측되는 조정이 가격이나 물량을 통한 단기적 대응보다는 기존 핵심 공급국에 대한 조달 확대라는 구조적 선택을 통해 이루어졌을 가능성을 시사한다.
이러한 분석은 리튬 공급망의 취약성이 물량 부족이나 가격 신호의 왜곡만으로 설명되기 어렵고, 가치사슬 단계별 참여 구조와 공급국 선택의 제약에서 기인함을 보여준다. 이에 다음 장에서는 공급망 집중도와 제도적 환경이 무역 조정 과정에서 수행하는 역할을 실증적으로 분석한다.
3. 데이터 및 방법론
3.1. 데이터
본 연구는 리튬 무역에서 관측되는 가격–수량 조정과 공급망 구조의 영향을 분석하기 위해 국제 무역자료, 가격자료, 거시·제도 변수, 표준 중력모형 통제변수를 결합한 데이터를 구축한다. 분석 대상은 리튬 가치사슬의 채굴 이후 정제·가공 단계를 대표하는 핵심 리튬 화합물로, 상류에 가까운 1차 정제 단계의 탄산 리튬(HS 283691)과 고도 정제 과정을 거친 중류 정제·가공 단계의 수산화·산화 리튬(HS 282520)을 분석한다. 두 품목은 투입 단계와 기술적 요구 수준, 공급국 분포 및 조달 구조에서 차이가 있어, 리튬 공급망 구조와 무역 조정 메커니즘의 이질성을 비교·분석하는 데 적합하다.
분석 목적에 따라 데이터의 구조와 공간적 범위를 구분한다. 시장 차원의 가격–수량 조정 메커니즘을 분석하는 VECM 단계에서는 한국의 리튬 수입을 기준으로 한 시계열 자료를 활용하여, 두 품목의 가격·수입량·지출 간 장기 균형 관계와 단기 조정 과정을 분석한다.
한편, 공급망 구조가 무역에 미치는 영향을 분석하기 위해 구조적 중력모형 단계에서는 국가–연도–품목 수준의 패널 데이터를 구축한다. 중력모형 분석에는 한국, 일본, 미국, 영국, 프랑스, 독일, 중국의 7개 국가를 주요 수입국으로 포함한다.1) 이 국가들은 글로벌 전기차(EV) 및 이차전지 산업에서 생산과 수요 양 측면에서 핵심적인 역할을 수행하는 국가로서, 리튬을 포함한 배터리 핵심 광물의 조달 구조와 공급망 변화가 산업 활동에 중요한 영향을 미친다(IEA, 2023; UNCTAD, 2023). 본 연구는 이러한 주요 EV 생산국을 중심으로 리튬 공급망 구조를 분석함으로써, 특정 국가에 국한되지 않은 보다 일반적인 공급망 조정 메커니즘을 확인하고자 한다.
한국의 리튬 무역 자료는 가용한 자료를 최대한 활용하기 위해 1996년부터 2024년까지의 기간을 검토하였다. 가격–수량 조정의 장기적 관계를 분석하는 VECM 분석에서는 동일하게 1996 ~ 2024년 기간의 시계열 자료를 사용하여, 장기 균형 관계와 단기 조정 과정을 함께 추정한다.
반면, 구조적 중력모형 분석에서는 국가쌍·연도·품목 수준의 균형패널(balanced panel) 구성이 필요하므로, 데이터의 부재를 최소화할 수 있는 2001년부터 2022년까지의 기간으로 분석 범위를 한정하였다. 이를 통해 고정효과를 포함한 중력모형 추정에서 표본 불균형으로 인한 편의를 최소화하고, 추정 결과의 일관성을 확보하고자 한다.
리튬 무역자료는 UN Comtrade (UNCTAD, 2025) 데이터베이스를 활용하여 수입국 기준의 수입액(CIF value)과 수입물량(quantity)을 구축하였다. 단위가격은 수입액을 수입물량으로 나눈 값으로 정의하여, 가격 조정 경로와 무역효과를 분석하는 데 활용한다. 환율 변동의 영향을 반영하기 위해 IMF International Financial Statistics (IFS) (IMF, 2025) 자료를 이용하여 수입국 통화 대비 미 달러 환율을 통제변수로 포함한다. 수입국과 수출국의 경제 규모를 통제하기 위해 World Bank World Development Indicators (WDI) (World Bank, 2025a)의 실질 GDP 자료를 사용한다.
양국 간 거래비용(trade costs)을 대변하는 표준 중력모형 통제변수는 CEPII Gravity Database (Conte et al., 2022)에서 제공하는 자료를 활용한다. 해당 변수들은 시간 불변적인 국가 간의 특성을 가지며, 양국 수도 간 거리, 국경 인접 여부, 공용 언어, 1945년 이후 식민지 관계, 종교 공유 여부 등을 포함한다. 이를 통해 관측되지 않는 양국 간 구조적 무역 비용을 효과적으로 통제한다. 중력모형 분석에 포함되는 7개 주요 수입국은 모두 전기차 및 배터리 생산 비중이 높아 리튬 수입이 산업 활동과 직접적으로 연계되어 있다.
본 연구에서는 공급망 구조의 특성을 설명하기 위해 공급망 집중도(HHI)와 공급망 취약성 지수(SCNV)를 함께 활용한다. HHI는 특정 품목의 수입이 소수의 공급국에 얼마나 집중되어 있는지를 나타내는 지표로, 공급망의 양적 집중 구조를 측정한다. 반면 SCNV는 수입국의 공급국별 수입 의존도에 공급국의 제도적 안정성을 결합한 변수로, 수입 구조상 중요도가 높은 공급국의 제도적 환경이 무역 조정에 미치는 영향을 반영한다.2)
두 변수 모두 수입 의존 구조에 기반하고 있으므로 다중공선성의 가능성을 점검할 필요가 있다. 분산팽창계수(VIF) 검정 결과 모든 변수의 VIF 값이 일반적으로 허용되는 기준 이하로 나타나 다중공선성 문제는 없는 것으로 확인되었다. 또한, 중력모형 추정에서 HHI와 SCNV 변수의 잠재적 내생성 문제를 고려하여, 시장집중도를 1 ~ 3기 시차값으로 대체한 강건성 분석을 추가로 수행하였다. 그 결과 주요 계수의 부호와 통계적 유의성은 동일하게 유지되었다. 다만, 시차 변수의 활용만으로 내생성을 완전히 해소할 수는 없다는 점은 본 연구의 한계이다.
3.2. 실증 분석 전략: 2단계 접근법
리튬과 같은 핵심 광물 시장에서는 장기 계약과 공급 제약으로 인해 가격 변화가 단기적으로 무역 조정으로 바로 연결되기 어렵다. 그러나 중장기적으로는 계약 재협상이나 공급국 전환 등을 통해 가격 신호가 점진적으로 수입 구조에 반영될 수 있다.
이러한 시장 특성을 고려하여 본 연구는 실증 분석을 두 단계로 구성한다. 1단계에서는 VECM을 활용하여 가격·물량·지출 간의 단기 및 장기 조정 관계를 추정함으로써, 가격 신호에 따른 조정 메커니즘의 존재 여부를 확인한다. 2단계에서는 중력모형을 이용하여 이러한 조정이 실제 무역에서 국가·제품·공급국 수준에서 어떻게 나타나는지를 분석한다. 특히 수입액 변화를 가격 효과, 물량 효과, 조달 구조 조정으로 구분하여 공급망 구조가 무역에 영향을 미치는 과정을 설명한다.
본 연구는 리튬 수입량, 수입단가, 환율 등의 변수들이 비정상 시계열(non-stationary)임에도 불구하고 장기적인 균형 관계(cointegration)를 가질 수 있음에 주목하여, 벡터오차수정모형(VECM)을 1차 분석 모형으로 채택하였다.3)
1단계 분석인 한국의 리튬 수입 구조의 VECM 추정에서는 품목별 수입 의존도가 가장 높은 국가를 중심으로 두 개의 모형을 구성하였다. Model 1은 수산화·산화 리튬 수입에서 지배적인 비중을 보이는 중국산 수입량을, Model 2는 탄산 리튬 수입에서 가장 높은 비중을 차지하는 칠레산 수입량을 각각 종속변수로 설정하였다. 이는 글로벌 시장 전체의 가격 변동을 분석하기보다는 한국의 핵심 광물 조달 구조가 외부 충격에 대해 어떻게 반응하는지를 국가별 공급 의존도 관점에서 파악하기 위함이다.
① Model 1: 수산화 ·산화 리튬 수입량 모델
Model 1은 한국의 수산화·산화 리튬의 수입단가, 중국산 수입량, 환율 간의 동적 상호작용을 살펴본다. 이때 내생변수(Yt)는 리튬 시장의 구조적 특성과 글로벌 공급망의 특수성을 반영하여 구성되었다. 중국산 수입단가(PCN)는 중국과의 직접적인 거래 비용을 나타내며, 수입량 결정에 미치는 직접적인 가격 효과를 포착한다. 중국 외 기타 국가 수입단가(PROW)는 글로벌 리튬 시장 전반의 가격 흐름을 통제하기 위한 변수로, 특정 국가 효과와 공통적인 시장 충격을 구분하기 위해 포함하였다.
또한, 리튬 수입 의존도가 높은 한국의 구조상 수입 단가에 직접적인 영향을 미치는 핵심 요인으로 환율(EXC)을 포함하였으며4), 수입량(QCN)은 가격 및 환율 충격에 대해 국내 이차전지 산업이 물량 확보 측면에서 어떻게 대응하는지를 보여주는 핵심 결과 변수로서 내생변수로 포함하였다.
외생변수(Xt)는 Model 1과 Model 2 모두에서 동일한 네 개의 더미변수가 포함하였다. 중국의 전기차 보조금 축소 정책(2019 ~ 2020년), 코로나19 팬데믹(2020 ~ 2021년), 러시아-우크라이나 전쟁(2022년), 그리고 리튬 가격 급등기(2021 ~ 2023년)를 각각 더미 변수로 설정하여 모델의 통계적 유의성을 확보하고 구조적 변화를 고려하였다.
| (1) |
| (2) |
이때 은 오차수정항(Error Correction Term, ECT)으로, 장기균형 관계로부터의 이탈을 조정하는 메커니즘을 나타낸다. 공적분 검정(Johansen test) 결과 r=2로 추정되어 오차조정계수(adjustment coefficient, α)가 두 개 존재하여, 본 연구의 핵심 결과변수인 수입량에 대한 개별 방정식은 다음과 같다.5)
| (3) |
② Model 2: 탄산 리튬 수입량 모델
Model 2는 한국 탄산 리튬의 수입단가, 칠레산 수입량, 환율 간의 동적 상호작용을 분석한다. 내생변수는 Model 1과 동일하나, 수입단가는 칠레와 중국 두 국가를 각각 포함하였다. 이는 한국이 탄산 리튬을 거의 전량 수입하고 있는 칠레 외에도 글로벌 시장 지배력이 높은 중국의 영향력을 분석에 반영하기 위함이다.
| (4) |
| (5) |
Model 2의 역시 공적분 검정 결과 r=2로, 오차조정계수(α) 두 개가 존재하며, 이를 반영한 핵심 결과변수인 수입량에 대한 방정식은 다음과 같다.
| (6) |
2단계에서는 리튬 무역의 실제 조정 결과를 국가·제품·공급국 수준에서 분석하기 위해 구조적 중력모형을 적용한다. 수입액과 수입물량은 zero trade 관측치와 이분산 문제를 동시에 고려할 수 있는 PPML (Poisson Pseudo-Maximum Likelihood) 방법으로 추정한다. PPML은 곱셈형 중력방정식을 로그선형화하지 않고 직접 추정함으로써, 이분산 하에서도 일관적인 추정치를 제공하는 방법으로 무역 중력모형 분석에서 표준적인 접근법으로 활용되고 있다(Santos Silva and Tenreyro, 2006). 단위가격은 고정효과를 포함한 로그선형 OLS (HDFE OLS)로 추정한다. 모든 모형에는 HS code 고정효과와 연도 고정효과를 포함하며, 이러한 고정효과를 포함한 중력모형에서도 PPML 추정은 무역 자료 분석에서 널리 활용되고 있다(Martin et al., 2019).
① 기본 중력 모형
리튬 무역의 전반적인 조정 양상을 분석하기 위해 PPML 기반 구조적 중력모형을 추정한다. 종속변수 Xijt는 수입액(CIF value)과 수입물량(quantity)을 각각 사용한다. 단위가격은 수입액을 수입물량으로 나눈 값으로 정의하며, 이는 고정효과를 포함한 로그선형 OLS (HDFE OLS)로 추정한다. 기본 모형은 수입국 i가 수출국 j로부터 연도 t에 수입한 리튬 무역 흐름을 추정한다. 기본 중력모형 식은 다음과 같다.
| (7) |
여기서 HHHit는 수입국–연도 기준의 공급망 집중도를 나타내며, 특정 연도에 수입국이 얼마나 소수의 공급국에 의존하고 있는지를 측정한다. SCNVijt는 공급망 취약성 지표로, 수입국의 특정 공급국에 대한 의존도와 해당 공급국의 제도적 안정성을 결합한 변수이다. GDPit와 GDPjt는 각각 수입국과 수출국의 경제 규모를 통제하기 위한 변수이며, DISTij는 CEPII 자료를 이용한 양국 수도 간 거리의 로그값이다. Zij는 국경 인접 여부, 공용 언어, 식민지 관계, 종교 공유 등 시간 불변적인 국가쌍 특성을 포함하는 벡터이고, Wt는 글로벌 유가나 환율과 같은 공통 시계열 충격을 통제하는 변수이다. μh는 HS code 고정효과로 제품별 불변 특성을 통제하며, τt는 연도 고정효과로 글로벌 경기 변동 및 공통 충격을 통제한다. 오차항 ϵijt는 국가쌍(pair) 기준으로 클러스터링된 표준오차를 통해 처리한다.
② 품목별(HS Code) 중력 모형
다음으로 리튬 가치사슬의 가공 단계별 이질성을 반영하기 위해 HS code별로 모형을 분리하여 추정한다. 구체적으로, 채굴 및 1차 가공 단계와 밀접한 탄산 리튬(HS 283691)과, 정제·가공 단계에 해당하는 수산화·산화 리튬(HS 282520)을 대상으로 각각 중력모형을 추정한다. HS code h별 모형은 다음과 같이 설정된다.
| (8) |
여기서 Gi,jt는 GDP, 거리, 국가쌍 특성 등 표준 중력 통제변수 벡터를 의미한다. 이 모형을 통해 공급망 집중도와 제도적 안정성의 효과가 리튬의 가공 단계에 따라 어떻게 달라지는지를 식별할 수 있다.
③ 공급망 취약 수입국 그룹 상호작용 모형
한국과 일본은 전기차 및 이차전지 산업에서 글로벌 경쟁력을 보유한 대표적인 제조국이지만, 리튬을 포함한 핵심 광물 자원에 대해서는 국내 보유량이 극히 제한적이라는 공통적인 구조적 제약을 안고 있다. 특히 양국은 정제 이후의 배터리 소재 및 하류 제조 단계에 특화된 산업 구조를 형성하고 있는 반면, 광물의 채굴 및 제련·정련 등 공급망 상류 단계에 대해서는 구조적으로 높은 수입 의존도를 보인다. 기존 연구에 따르면, 한국과 일본은 천연흑연, 희토류, 리튬 등 주요 핵심광물에서 특정 국가에 대한 수입 집중도가 50 ~ 90% 이상으로 나타나 공급망 단절 리스크에 공통적으로 노출되어 있는 것으로 분석된다(Kim et al., 2024). 이러한 특징은 자원 보유국이나 정제 허브 국가와 달리, 공급망 상류의 집중도 변화나 공급국의 제도적 안정성 악화가 무역에 미치는 영향에 대해 양국이 상대적으로 더 민감하게 반응할 가능성을 시사한다.
이에 본 연구에서는 한국과 일본을 ‘공급망 취약 수입국’ 그룹으로 정의하고, 자원 접근성과 공급망 구조가 상이한 다른 주요 수입국(미국, 영국, 독일, 프랑스, 중국)과 비교하여 이들이 공급망 구조 변화에 대해 차별적인 조정 행태를 보이는지를 검증하기 위해 상호작용 모형을 설정한다. 한국 단독을 대상으로 할 경우 표본 수 제약으로 인해 통계적 검정력이 제한될 수 있으므로, 핵심 광물의 공급망 구조와 공급망 단절 리스크가 유사한 일본을 함께 포함하여 그룹 변수를 구성한다. 이를 통해 공급망 집중도 및 공급국의 제도적 안정성이 무역에 미치는 영향이 특정 취약 수입국 집단에서 차별적으로 나타나는지를 실증적으로 분석하고자 한다.
| (9) |
Groupi는 수입국 i가 한국 또는 일본인 경우 1, 그 외의 경우 0의 값을 갖는다. 이를 통해 공급망 집중도와 공급국의 제도적 안정성이 무역에 미치는 효과가 공급망 취약 수입국 집단에서 차별적으로 나타나는지를 실증적으로 분석한다.
4. 분석결과 및 시사점
4.1. VECM 단기 동태성 추정 결과
단위근 검정과 Johansen 공적분 검정 결과, 모든 변수는 I(1)이며 변수들 간에 장기적 공적분 관계가 존재함이 확인되었다. 또한, 적정 시차는 VAR(2)로 결정되었고, 우도비 검정 결과 상수항만 포함하는 모형이 적합한 것으로 나타났다.6) 이를 토대로 분석한 VECM 추정 결과 및 장단기 조정 관계는 Table 2와 같다. 두 모형 모두 오차수정항(ECT)이 유의한 음(-)의 값으로 나타나, 장기 균형에서 이탈이 발생할 경우 다음 기간에 균형 수준으로 조정되는 메커니즘이 존재함을 확인하였다.
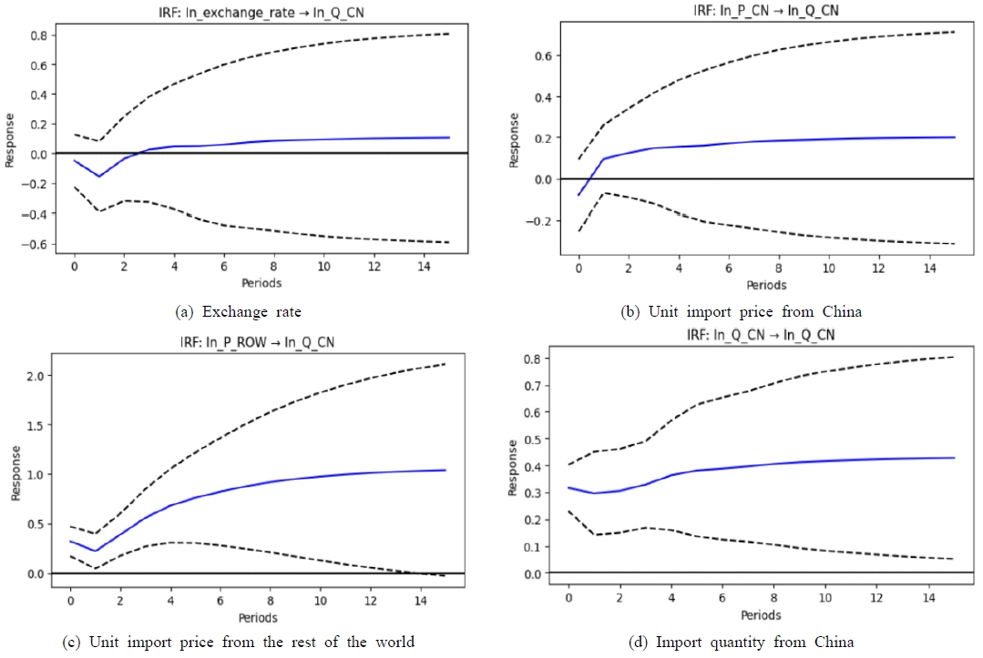
중국산 수입단가의 변화가 중국산 수산화·산화 리튬 수입량 변화에 유의한 양(+)의 영향을 미치는 것으로 추정되어, 단기적으로 중국의 가격 변동이 수입 의사결정에 중요한 신호로 작용하는 것으로 나타났다. 또한 기타 국가 수입단가의 상승은 단기적으로 음(-)의 영향을 미치는 것으로 나타났는데, 이는 수산화·산화 리튬 시장 전반의 조달 비용을 상승시켜 중국산 수입 수요까지 함께 위축시키는 비용 압박 충격으로 우선 작용하는 것으로 해석된다. 이러한 결과는 한국 기업들이 단기적인 가격 변동에 대응하여 공급선을 즉각적으로 전환하기보다는, 시장 전반의 비용 여건 변화에 의해 수입 규모를 조정하는 구조에 놓여 있음을 시사한다. 한편 전기(t-1) 수입량 변화와 환율 변동은 단기적으로 수산화·산화 리튬 수입량 변화에 통계적으로 유의한 영향을 미치지 않는 것으로 나타났다.
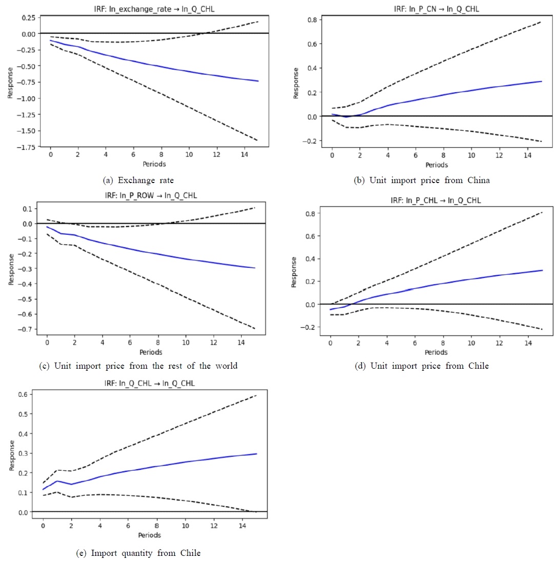
단기 동태성 추정 결과, 전기(t-1) 칠레산 수입량 변화가 현재(t) 칠레산(자국) 수입량 변화에 유의한 양(+)의 영향을 미치는 것으로 나타나, 과거의 무역량이 단기적으로 지속적인 영향을 미치는 관성 효과가 존재하는 것으로 나타났다. 또한, 환율과 수입량의 양(+)의 관계는 탄산 리튬이 단기적으로 가격 변화에 매우 비탄력적인 필수재임을 나타낸다.
Impulse response functions for Korea’s import quantity of lithium carbonate from ChileNote 1: Black dashed lines denote 95% confidence intervals.Note 2: Impulse response functions are identified using Cholesky decomposition.
반면, 기타 국가의 수입단가는 단기적으로 음(-)의 영향을 미치는 것으로 추정되었으나, 유의수준은 10%에 그치고 계수의 크기 또한 제한적인 것으로 나타났다. 이는 기타 국가의 가격 상승이 탄산 리튬 수입 전반의 조정 또는 수요 위축과 연관되어 나타난 것으로 판단된다. 한편 중국산 수입단가와 칠레산(자국) 수입단가는 단기적으로 탄산 리튬 수입량 변화에 통계적으로 유의한 영향을 미치지 않는 것으로 나타났다.
한편, 외생변수인 중국의 전기차 보조금 축소 정책, 글로벌 리튬 가격 급등, 코로나19 팬데믹, 러시아-우크라이나 전쟁에 대한 영향은 두 모델 모두에서 통계적으로 유의하지 않은 것으로 나타났다. 이는 이러한 외부 충격들이 단기적으로 리튬 수입량 변화에 뚜렷한 영향을 미치지 않았음을 의미한다. 이러한 결과는 공급이 제한적이고 특정 국가에 집중된 핵심광물 시장의 특성상, 단기적으로는 외부 충격에 대한 수입 조정이 제한적으로 이루어지는 경직적인 구조가 반영된 것으로 해석할 수 있다.
4.2. 충격반응함수(IRF) 분석
본 연구는 수산화·산화 리튬과 탄산 리튬 수입량의 동태적 조정 메커니즘을 분석하기 위해 VECM 모형에 기반한 충격반응함수(IRF) 분석을 실시하였다. 분석 기간은 충격의 중·장기적 전이 과정을 확인하기 위해 15기로 설정하였으며, 각 내생변수에 대해 표준편차 1만큼의 충격이 발생했을 때 수입량이 어떻게 반응하는지를 살펴보았다.
Model 1의 조정계수는 -0.22로, 탄산 리튬 모형에 비해 그 절대값이 상대적으로 작게 추정되었다. 이는 수산화·산화 리튬 수입 구조가 장기 균형으로의 조정 속도가 상대적으로 완만하며, 외생적 충격의 영향이 보다 장기간에 걸쳐 지속되는 특성을 지니고 있음을 의미한다. 다시 말해, 수입량이 장기 균형 관계로부터 이탈하더라도 조정 과정이 점진적으로 이루어지는 구조로 해석할 수 있다.
이러한 조정 구조를 전제로 충격반응함수를 살펴보면, 환율 상승 충격에 대해 중국산 수산화·산화 리튬 수입량은 단기적으로는 소폭 감소하나, 이후 그 영향이 점차 완화되며 중·장기적으로는 거의 중립적인 반응 경로를 보인다. 이는 환율 변동에도 불구하고 수산화·산화 리튬 수입이 생산 공정과 밀접하게 연계된 특성으로 인해 단기적인 비용 충격에 크게 반응하지 않음을 의미한다.
중국산 수입단가 상승 충격의 경우, 수입량은 감소하지 않고 오히려 장기 균형 수준을 중심으로 완만한 양(+)의 방향으로 조정되는 모습을 보인다. 이는 단기적인 가격 신호보다 안정적인 조달 관계와 공급 지속성이 수입 결정에 보다 중요한 요인으로 작용하고 있음을 의미한다. 한편, 기타 국가 수입단가 상승 충격에 대해서는 초기에는 수입 위축이 나타나지만, 이후에는 점진적으로 양(+)의 방향으로 반전되는 반응 경로가 관찰된다. 이는 글로벌 시장 전반의 비용 상승이 단기적으로는 수입 조정을 유발하나, 중·장기적으로는 기존 수입 구조를 유지·회복하려는 조정 과정이 작동한 결과로 해석된다.
마지막으로 수산화·산화 리튬 수입량 자체에 대한 충격은 비교적 높은 자기 지속성을 보였다. 이는 탄산 리튬과 마찬가지로 수산화·산화 리튬 시장 역시 단기적인 가격·환율 충격보다는 장기 계약과 공급 연속성을 중시하는 구조적 특성이 강하게 작용하고 있음을 재확인해 주는 결과로 해석할 수 있다.
Model 2에서 조정계수는 -0.93으로, 장기 균형 관계로부터 이탈이 발생할 경우 탄산 리튬 수입량이 비교적 빠른 속도로 균형 수준으로 조정되는 것으로 나타났다. 이는 단기적인 충격이 발생하더라도 수입량이 장기 균형 경로에서 크게 이탈하지 않고, 일정 기간 내에 안정적인 균형 수준으로 수렴하는 조정 메커니즘이 존재함을 의미한다.
Forecast error variance decomposition (FEVD) of import quantities: Lithium oxide and hydroxide (Model 1) and lithium carbonate (Model 2)Note: The same Cholesky identification scheme as in the IRF analysis is applied.
이러한 장기 조정 구조를 전제로 충격반응함수를 살펴보면, 환율 상승 충격에 대해 칠레산 탄산 리튬 수입량은 충격 발생 이후부터 감소세가 나타나며, 2기 이후부터는 단기보다 더 뚜렷하게 하방 조정되는 경로를 보인다. 이는 환율 변동이 충격 이후 수입 비용 부담의 누적을 통해 점진적으로 수입량이 감소되기 때문일 수 있다. 이러한 반응 경로는 환율 변동이 단기적으로는 제한적이나, 장기적으로는 수입 구조에 영향을 주는 조정 요인으로 작용함을 의미한다.
중국산 수입단가 충격에 대해서는 단기적으로 반응이 제한적인 반면, 중·장기적으로는 수입량이 완만한 양(+)의 방향으로 조정되는 경로가 관찰된다. 이는 중국 내 가격 변동이 글로벌 리튬 시장의 공급 여건 변화에 대한 신호로 인식되면서, 한국 기업들이 상대적으로 안정적인 기존 공급원인 칠레산 탄산 리튬 수입을 유지하거나 확대하는 방향으로 대응하는 것으로 판단된다.
칠레산 수입단가 상승 충격에 대해서도 수입량이 증가하는 방향의 반응이 나타났는데, 이는 핵심 광물 시장에서 가격 상승이 단기적인 수요 위축보다는 향후 공급 여건 변화에 대비한 조정적 대응과 연관되어 나타난 결과로 이해할 수 있다. 다만, 중국과 칠레의 수입단가 상승 충격의 경우, 그에 대한 반응은 전반적으로 신뢰구간이 0을 포함하고 있어 통계적 유의성은 제한적인 수준에 머문다.
기타 국가 수입단가 충격의 경우, 중·장기적으로 칠레산 수입량에 대해 완만한 음(-)의 반응이 나타나는 경향이 관찰된다. 이는 기타 국가 가격 상승이 글로벌 리튬 시장 전반의 조달 비용 압력으로 작용하여, 글로벌 수입량 전반의 조정 과정을 통해 영향을 미치는 것으로 해석할 수 있다.
수입량 자체 충격에 대해서는 강한 양(+)의 자기 지속성이 확인되었으며, 이후 시간이 경과함에 따라 장기 균형 경로를 중심으로 점진적으로 수렴하는 모습을 보인다. 이는 탄산 리튬 수입이 단기적인 충격에 즉각적으로 반응하기보다는, 기존의 거래 관행과 계약 구조를 바탕으로 관성적으로 조정되면서 장기 균형을 유지하는 구조적 특성을 지니고 있음을 알 수 있다.
이렇게 Model 2의 충격반응 결과 가격 변수에 대한 충격은 수입량에 뚜렷하고 일관된 조정을 유발하지 않는 것으로 추정되었으며, 이는 탄산 리튬 시장이 단기적인 가격 신호에 의해 수입량이 조정되는 경쟁적 시장이라기보다, 공급 제약과 계약 구조에 의해 수입 구조가 경직적으로 유지되는 특수한 시장이기 때문일 것이다.
예측오차 분산분해(FEVD) 결과에 따르면, 두 품목에서의 예측오차 분산은 전반적으로 자기충격에 의해 가장 큰 비중이 설명되는 것으로 나타났다. 수산화·산화 리튬(Model 1)의 경우 환율 및 가격 변수의 기여도가 탄산 리튬(Model 2)에 비해 상대적으로 확대되는 경향을 보이지만, 그 비중은 여전히 제한적인 수준에 머무르며 변동성의 주된 원인으로 작용한다고 보기는 어렵다. 이는 수산화산화 리튬과 탄산 리튬 두 품목의 수입 구조가 가격 신호에 의해 탄력적으로 조정되기 보다는 기존 계약과 공급 경로에 의해 상당 부분 고정되어 있음을 시사한다.
IRF와 FEVD 분석을 종합하면, 두 모델 모두 가격 및 환율 충격에 대해 일정한 반응 경로는 존재하나, 해당 충격이 수입량 변동의 핵심 동인으로 작용한다고 보기는 어렵다. 이는 리튬 수입 구조가 가격 중심의 시장 조정 메커니즘보다는 공급 안정성 확보와 장기 계약에 기반한 구조적 요인에 의해 지배되고 있음을 의미한다.
두 모형에서 뚜렷한 차이를 보인 충격변수는 기타 국가의 수입단가에 대한 영향이다. 먼저, 중국산 수산화·산화 리튬(Model 1)의 경우, 타국 수입단가 상승 충격에 대해 수입량이 오히려 증가하는 양상을 보였다. 이는 국내 배터리 산업이 고성능 하이니켈(High-Nickel) NCM 배터리를 주력으로 생산하는 구조적 특성에 기인한다. 하이니켈 배터리는 고성능 전기차의 핵심인 고에너지 밀도를 구현하기 위한 기술적 필수재(Technical Necessity) 성격이 강하다(IEA, 2025; Jones, 2024). 따라서 높은 비용에도 불구하고 기술적 요구사항을 충족하기 위해 수산화·산화 리튬의 안정적 확보가 최우선시된다. 결과적으로 일본, 칠레 등 타 공급원의 가격이 불안정해질 경우, 국내 기업들은 압도적인 가공 기술력과 공급망을 보유한 중국산으로 수입선을 더욱 집중함으로써 수급 안정성을 꾀하는 것으로 분석된다.
칠레산 탄산 리튬(Model 2) 분석 결과, 기타 파트너국의 수입단가 상승이 오히려 주요국인 칠레산 탄산 리튬의 수입량 감소로 이어지는 음(-)의 방향이 관찰되었다. 이는 두 가지 측면에서 해석된다. 먼저, 탄산 리튬은 칠레·중국과 기타 국가가 보완재의 성격을 띤다는 것이다. Oka (2025)는 미국 희토류 시장 실증분석을 통해, 기타 국가의 단가 상승이 전체 생산 비용을 높여 결과적으로 주 공급원(중국)의 수입 감소를 유발하는 ‘장기적 보완 관계(long-run complementarity)’가 성립함을 보인 바 있다. 이와 유사하게, 본 연구에서도 탄산 리튬에서도 기타 국가의 가격이 상승하여 전체적인 조달 비용이 증가하면 기업은 생산 규모 자체를 줄이게 되고, 이로 인해 주 공급원인 칠레산 수입량까지 함께 줄이는 결과로 이어질 수 있다.
또한, 이는 LFP 시장의 높은 비용 민감도로도 해석할 수 있다. 탄산 리튬은 LFP 양극재 비용의 약 75%를 차지할 정도로 원가 비중이 절대적이다(IEA, 2025). LFP 배터리는 ‘저렴한 가격’이 핵심 경쟁력이므로 원자재 가격 변동에 매우 민감하다. 따라서, 기타 국가의 단가 상승은 글로벌 리튬 가격의 전반적인 상승 신호로 작용하거나, 배터리 제조사의 평균 조달 단가를 높이게 된다. 이러한 비용 상승은 LFP 배터리 및 보급형 전기차의 가격 경쟁력을 훼손시켜 최종 제품의 수요 위축을 유발할 수 있다. Shojaeddini et al. (2024)은 최근 광물 원자재 가격 급등이 소비 기업들에게 상당한 비용 인상압력을 가했음을 지적한 바 있는데, 이러한 충격은 비용 민감도가 높은 LFP 시장의 수요 위축으로 이어져 결과적으로 칠레산 수입량까지 감소시킨 것으로 해석된다.
반면 자국의 수입단가 상승에 대해 수입량의 반응은 두 모델 모두에서 양(+)의 방향으로 이루어지는데, 이는 ‘대체 불가능성’에 기인한 안보적 대응으로 해석된다. 칠레와 중국은 글로벌 리튬 공급망의 핵심 공급국으로, 이들 국가의 수입단가 상승은 공급 단절 위험으로 인식될 수 있다. 광물 시장은 필수 중간재라는 특성상 일반적인 수요법칙과 달리, 기업들이 가격 상승 국면에서도 수입을 축소하기보다는 비축(stockpiling)과 같은 전략적 선택을 우선시하는 경향을 보인다(Kim and Kim, 2024). 이는 공급 불확실성에 직면한 기업들이 필수 물량을 선제적으로 확보하려는 ‘예비적 수요(precautionary demand)’가 작동한 결과로 해석된다. 이러한 맥락에서 수산화·산화 리튬 대비 탄산 리튬의 조정계수 절댓값이 더 크게 나타나 장기균형으로의 복귀 속도가 상대적으로 빠른 점 역시, 비용 민감도가 높은 탄산 리튬 시장에서 조정 압력이 보다 신속하게 반영된 결과로 이해할 수 있다.
주요 파트너국 및 그 외 파트너국의 가격 충격이 수입량에 미치는 영향을 살펴본 결과, 글로벌 리튬 가격 충격이 수입 의사결정에 미치는 영향은 매우 제한적이며, 국내 산업 생태계 유지를 위한 필수 물량 확보가 최우선임을 확인하였다. 이러한 경직적인 시장 구조는 분산분해 결과를 통해서도 재확인된다. 두 모델 모두 수입량 변동의 예측오차 분산이 전 기간에 걸쳐 대부분 자기충격에 의해 설명되는 것으로 나타났다. Model 1의 수산화·산화 리튬은 환율 및 가격 변수의 기여도가 Model 2 대비 다소 높게 나타나긴 하나 여전히 제한적인 수준에 그쳤으며, Model 2의 탄산 리튬 역시 외생적 충격이 수입량 변동에 미치는 영향은 미미했다. 다만, 공급망 집중도와 취약성 지표는 무역 조정에 영향을 미치는 구조적 특성인 동시에 수입 행태에 의해 형성될 가능성도 존재하므로, 본 절의 결과는 엄밀한 인과관계라기보다는 공급망 구조와 무역 조정 간의 구조적 연관성을 보여주는 것으로 해석하는 것이 바람직하다.
4.3. 중력모형 분석
Table 3은 공급망 집중도(HHI)와 공급망 취약성(SCNV)이 리튬 무역에 미치는 영향을 중력모형으로 추정한 결과이다. 분석은 전체 리튬 품목을 통합한 기본 모형과 함께, 수산화·산화 리튬과 탄산 리튬으로 구분한 품목별 모형을 추정하여 공급망 작동 메커니즘의 이질성을 검토한다. PPML 모형에서 추정계수는 설명변수의 변화가 무역에 미치는 비율적 변화율로 해석될 수 있으므로, 이하에서는 변수의 현실적인 변동 폭을 기준으로 결과를 설명한다. 구체적으로, 공급망 집중도는 0~1 사이의 지표임을 고려하여 HHI가 0.1 증가하는 경우, 제도적 안정성은 국제 비교에서 의미 있는 변화를 반영하여 SCNV가 0.5 개선되는 경우를 가정하여 해석한다.

Gravity-model estimates for lithium trade: Supply-chain concentration (HHI) and vulnerability (SCNV)
① 통합 표본에 대한 기본 분석 결과
전체 리튬 품목을 통합한 모형에서, HHI가 0.1 증가할 경우 수입액은 약 29%, 수입물량은 약 19% 확대되는 것으로 추정된다. 반면 동일한 변화가 단위가격에 미치는 영향은 통계적으로 유의하지 않아, 공급망 집중도의 변화는 가격 조정보다는 교역 규모 조정을 통해 주로 반영되는 것으로 해석된다. 이는 리튬 수입이 특정 공급국에 보다 집중될수록, 가격 변화보다는 물량 확대를 통해 수급이 조정되는 경향이 있는 것을 알 수 있다.
공급국의 SCNV의 경우, SCNV가 0.5 개선될 때 수입액은 약 124%, 수입물량은 약 86% 증가하는 것으로 나타났다. 동시에 단위가격은 약 30% 하락하는 것으로 추정된다. 이는 수입 구조상 비중이 큰 공급국의 정치·제도적 환경이 개선될수록 리튬 교역이 크게 확대되는 한편, 수입 가격은 상당 폭 안정화되는 양상이 나타남을 의미한다. 이러한 결과는 제도적 안정성 제고가 공급 리스크를 완화하고, 그 결과 위험 프리미엄 축소 및 거래 조건 개선으로 이어질 가능성을 보여준다.
② 품목별 분석 결과
수산화·산화 리튬에 대한 추정 결과에서는 공급망 집중도의 역할이 더욱 두드러진다. HHI가 0.1 증가할 경우, 수입액은 약 70%, 수입물량은 약 59% 확대되는 것으로 추정되었다. 반면, 동일한 변화가 단위가격에 미치는 영향은 통계적으로 유의하지 않아, 이들 품목의 가격은 공급 집중도 변화에 상대적으로 덜 민감한 것으로 나타났다.
한편, SCNV가 0.5 개선될 경우 수입액과 수입물량에서는 유의한 변화가 관찰되지 않은 반면, 수입단가는 약 34% 하락하는 것으로 추정되었다. 이는 상류 단계에 위치한 리튬 중간재의 경우, 교역 규모는 주로 시장 구조적 요인에 의해 결정되는 반면, 의존도가 높은 공급국의 제도적 안정성 변화가 교역 규모보다는 가격 형성 경로를 통해 반영됨을 시사한다.
탄산 리튬에서는 상이한 조정 메커니즘이 관찰된다. HHI가 0.1 증가하더라도 수입액, 수입물량, 단위가격 모두에서 통계적으로 유의한 변화는 확인되지 않았다. 이는 이 품목의 무역이 시장 집중도보다는 다른 요인에 의해 좌우되고 있음을 알 수 있다.
SCNV가 0.5 개선될 경우 수입액은 약 161%, 수입물량은 약 98% 확대되는 것으로 나타났으며, 단위가격은 약 27% 하락하는 것으로 추정되었다. 이는 탄산 리튬과 같이 하류 단계에 가까운 품목일수록, 교역 확대와 가격 안정이 공급국의 제도적 안정성에 크게 의존하고 있다고 볼 수 있다.
분석 결과는 리튬 공급망에서 작동하는 조정 메커니즘이 품목별로 뚜렷하게 구분됨을 보여준다. 상류 단계의 리튬 화합물 수산화·산화 리튬은 공급망 집중도의 변화에 따라 교역 규모가 크게 조정되는 반면, 하류 단계의 탄산 리튬은 공급국의 제도적 안정성 변화에 따라 교역 규모와 가격이 동시에 조정되는 경향을 보인다. 이러한 결과는 리튬 공급망 리스크를 평가함에 있어 국가 단위 분석을 넘어, 품목 수준에서의 구조적 차이를 명시적으로 고려할 필요성을 시사한다.
Table 4는 공급망 집중도(HHI)와 공급망 취약성(SCNV)이 리튬 무역에 미치는 한계효과가 한국·일본 수입국 그룹에서 다른 수입국 그룹과 비교하여 어떻게 달라지는지를 분석한 결과를 제시한다. 이를 위해 한국·일본(이하 한·일) 그룹 더미 변수와의 상호작용항을 포함한 중력모형을 추정하였으며, HS 코드 및 연도 고정효과를 포함함으로써 품목 수준의 이질성은 통제하였다.
상호작용항이 포함된 PPML 모형에서 특정 국가 그룹의 한계효과는 기본 계수와 상호작용 계수의 합으로 해석된다. 이에 따라 이하에서는 공급망 구조 변화에 대한 반응이 한·일 그룹의 수입에서 다른 수입국 그룹과 비교하여 어떠한 차이를 보이는지를 중심으로 결과를 해석한다.
먼저 수입액 기준 결과를 살펴보면, HHI는 전체 표본에서 기대 수입액에 대해 유의한 한계효과를 가지는 것으로 나타났다. 여기에 한국·일본 그룹과의 상호작용항(HHI × KOR·JPN)이 한계적으로 유의하게 추정됨에 따라, 공급망 집중도의 한계효과는 한·일 그룹의 수입에서 다른 수입국 그룹에 비해 더 크게 작용하는 것으로 해석된다. 이는 공급국 구조가 보다 집중될수록 기대 수입액이 증가하는 반응이 한·일 그룹에서 상대적으로 더 강하게 나타남을 의미한다.
반면, 수입물량과 단위가격에 대해서는 HHI 자체와 한·일 상호작용항 모두 통계적으로 유의하지 않은 것으로 나타났다. 이는 공급망 집중도의 차별적 효과가 가격이나 물량의 개별적 조정 경로를 통해 나타나기보다는, 주로 거래 규모(가치 기준)의 확대를 통해 반영되고 있음을 시사한다. 다시 말해, 한·일 그룹의 수입에서는 공급망 구조 변화가 교역 조건의 미세 조정보다는 전체 교역 규모의 조정을 통해 흡수되는 경향이 강한 것으로 해석할 수 있다.
SCNV의 경우 기본 효과는 수입액과 수입물량 확대, 수입단가 하락으로 나타나지만, 한국·일본 그룹과의 상호작용항을 고려하면 이러한 효과는 다른 수입국 그룹에 비해 상대적으로 약화되는 것으로 추정된다. 이는 의존도가 높은 공급국의 제도적 안정성 변화가 한국·일본 그룹의 수입에서는 추가적인 교역 확대나 가격 조정으로 이어지는 정도가 상대적으로 제한적임을 의미한다.
이러한 결과는 한국·일본 그룹이 이미 장기간에 걸쳐 형성된 산업적 연계와 기업 간 거래 네트워크에 기반한 공급망 구조를 보유하고 있어, 핵심 공급국의 제도적 안정성 변화에 대한 민감도가 다른 수입국 그룹에 비해 낮을 가능성을 시사한다.
중력모형 분석 결과는 핵심광물 무역에서 공급망 집중도와 수입 구조상 의존도가 높은 공급국의 제도적 안정성이 무역 규모에 서로 다른 경로로 작용하며, 그 효과가 품목과 수입국 그룹에 따라 달라짐을 보여준다. 특히 본 연구에서 사용한 공급망 취약성 지수는 수입국이 상대적으로 높은 비중으로 의존하고 있는 공급국의 제도적 환경을 반영한다는 점에서, 무역 구조 내 의존 관계가 제도적 요인과 결합되어 작동하는 양상을 분석할 수 있게 한다.
이러한 결과는 제도와 무역 구조 간의 관계를 설명한 기존 이론과 부합한다. Levchenko (2007)는 제도적 질이 낮은 국가에서는 불완전 계약 문제로 인해 제도집약적 재화의 생산이 구조적으로 비효율적이 되며, 무역 개방 이후 해당 산업이 점진적으로 조정되기보다는 생산 거점이 제도적으로 안정적인 국가로 이전되는 방식으로 재편된다고 주장한다. 즉, 제도적 안정성은 단순히 무역 규모에 영향을 미치는 요인을 넘어, 산업 입지와 무역 구조의 지속성을 규정하는 핵심 요소로 작용한다. 이와 유사하게 Nunn (2007)은 계약 집약도가 높은 산업일수록 제도적 질이 우수한 국가와의 교역 비중이 높아진다는 점을 실증적으로 보이며, 제도와 무역 패턴 간의 구조적 연계를 강조한다.
본 연구의 분석 결과는 이러한 이론적 주장이 핵심광물 공급망 맥락에서도 유효함을 보여준다. 기본 모형 및 품목별 분석 결과에 따르면, 수입 구조상 의존도가 높은 공급국의 제도적 안정성이 개선될수록, 특히 하류 단계에 가까운 리튬 품목에서 수입 규모 확대와 가격 안정이 동시에 나타나는 경향이 있다. 반면, 상류 단계에 위치한 품목에서는 공급망 집중도 변화에 따른 규모 조정 효과가 상대적으로 더 크게 작용하며, 제도적 안정성의 변화는 주로 가격 조정 경로를 통해 제한적으로 반영된다. 이는 제도 의존도가 높은 생산 단계일수록 핵심 공급국의 제도적 환경 변화가 무역 구조 형성에 영향을 줄 수 있다는 점을 보여준다.
한·일 그룹을 대상으로 한 분석은 이러한 제도 효과가 모든 수입국에서 동일하게 나타나지 않음을 보여준다. 전기차 및 이차전지 가치사슬에서 유사한 위치에 있는 한·일과 같은 수입국 그룹의 경우, 수입 의존도가 높은 공급국의 제도적 안정성 변화가 무역에 미치는 한계효과는 다른 수입국 그룹에 비해 상대적으로 약화되는 반면, 공급망 집중도 변화에 대한 반응은 보다 크게 나타난다. 이는 장기간 축적된 산업적 연계와 기업 간 거래 네트워크가 제도적 불확실성을 어느정도 흡수하면서, 공급망 조정이 제도 요인보다 기존 거래 구조와 네트워크를 중심으로 이루어질 수 있다는 것을 보여준다.
따라서, 핵심광물 무역에서 공급망 조정 메커니즘이 단일한 경로로 작동하지 않으며, 품목의 가치사슬 내 위치, 수입국이 의존하고 있는 공급국의 제도적 환경, 수입국 그룹의 산업적 특성에 따라 상이한 결과를 보여준다. 이는 핵심광물 공급망 취약성을 평가하거나 정책을 설계할 때 품목별 이질성과 수입국 그룹이 지닌 구조적 특성을 고려할 필요가 있다. 다만 이러한 결과는 공급망 구조와 제도적 환경이 무역 성과와 함께 형성되는 구조적 관계를 보여주는 것으로, 특정 제도 요인의 변화가 무역 조정을 직접적으로 유발한다는 인과적 해석에는 신중할 필요가 있다.
5. 결론
본 연구는 국내 리튬 수입 의사결정이 단기적인 가격·환율 신호에 따라 유연하게 조정되기보다, 기술적 필수성과 공급 불확실성에 대응한 구조적으로 경직된 조달 체계에 의해 결정되고 있음을 실증적으로 확인한다. 구조적 충격반응 분석(IRF·FEVD)과 중력모형 분석 모두에서 가격 충격의 설명력은 제한적인 반면, 기존 공급망 구조와 주요 공급국에 대한 의존 관계가 수입량 조정에 지속적으로 작용하는 것으로 나타났다. 이는 리튬이 일반적인 원자재와 달리 산업 생태계의 지속성과 직결되는 전략적 중간재임을 의미한다.
이러한 실증 결과는 핵심 전략산업의 글로벌 공급망이 단기적 시장 신호만으로는 충분히 조정되기 어렵고, 구조적 의존성이 장기간 유지될 수 있다는 기존 정책 연구의 문제의식과도 부합한다. 배터리 및 핵심 광물 공급망은 자원 부존 단계뿐만 아니라 정제·가공 단계에서 특정 국가에 대한 의존도가 높게 형성되어 있으며, 이러한 구조는 경제안보 차원의 취약성으로 이어질 가능성이 있다(Kyung et al., 2023). 본 연구는 이러한 구조적 취약성이 리튬 수입 조정 과정에서도 실증적으로 확인된다는 점을 보여준다.
이에 따라 핵심광물 공급망 정책은 단기적인 수급 조정이나 가격 안정화보다 공급망 회복성과 산업 안보 확보에 초점을 맞춰 설계할 필요가 있다. 특히 공급망 취약성은 단순한 수입국 다변화만으로 완화되기 어렵기 때문에, 품목별 특성과 가치사슬 단계별 역할을 고려한 체계적인 접근이 요구된다.
첫째, 공급망 다변화 전략은 단순한 조달선 확대가 아니라, 품목별 기술적 특성과 글로벌 가치사슬 내 위치, 그리고 공급국의 제도·정책 리스크를 종합적으로 고려하는 방식으로 추진될 필요가 있다. 수산화·산화 리튬과 같이 대체 가능성이 낮고 고성능 배터리 생산에 필수적인 품목의 경우, 주요 공급국의 가격 변동에도 수입이 유지되거나 확대되는 경향이 관찰된다. 이는 해당 품목이 가격 효율성보다 안정적 확보가 중요시되는 조달 대상임을 시사하며, 장기 계약이나 전략적 비축, 정제·가공 단계에서의 공급 안정성 확보가 핵심적인 정책 수단으로 검토될 수 있다.
둘째, 비용 민감도가 높은 품목에 대해서는 가격 변동성이 수요와 수입 결정에 미치는 영향을 완화할 수 있는 정책적 장치가 중요하다. 탄산 리튬의 경우 글로벌 가격 변동이 생산 규모와 수입량 조정에 직접적으로 반영되는 양상이 나타나므로, 가격 충격을 완화할 수 있는 제도적 장치와 함께 조달 비용의 예측 가능성을 높이는 방향으로 중장기 공급 계약의 설계가 이루어질 필요가 있다.
셋째, 공급망 안정화 전략은 물리적인 공급 경로의 다양화에 그치지 않고, 공급국의 제도적 신뢰성과 협력 관계를 함께 고려하는 방향으로 설계되어야 한다. 중력모형 분석 결과에서 확인되듯이, 수입 구조상 의존도가 높은 공급국의 제도적 안정성은 특정 품목과 수입국 그룹에서 무역 규모와 가격 안정에 영향을 미친다. 이는 제도적 리스크가 낮은 공급국과의 중장기적 협력 관계가 공급망 안정성 확보에 중요한 요소임을 시사한다. 이러한 맥락에서, 개발도상국 자원 보유국을 대상으로 한 공적개발원조(ODA)는 공급국의 제도 역량과 정책 환경을 개선함으로써 중장기적으로 공급망 안정성을 제고하는 보완적 정책 수단으로 활용될 수 있다. 예컨대 자원 관리 역량 강화, 규제·행정 시스템 개선, 인프라 구축을 지원하는 에너지·자원 분야 ODA는 공급국의 제도적 불확실성을 완화하고, 수입국과의 신뢰 기반 협력 관계를 강화하는 데 기여할 수 있다.
마지막으로, 한·일과 같이 전기차 및 이차전지 가치사슬에서 유사한 산업적 위치를 차지하는 수입국 그룹의 경우, 공급망 조정은 제도 환경 변화보다 기존 거래 네트워크와 산업 구조에 더 크게 반응하는 경향이 나타난다. 이는 핵심광물 공급망 정책이 국가 단위의 일률적인 처방에 머무르기보다, 산업 구조와 이미 형성된 생산·거래 네트워크의 특성을 반영한 맞춤형 접근이 필요함을 시사한다.
본 연구의 분석 결과는 핵심광물과 같은 전략 자원의 공급망을 경제안보 차원에서 관리하려는 정부의 정책 기조와 밀접하게 연결된다. 핵심광물은 공급망 교란 시 대체가 어렵고 제조업 전반에 연쇄적인 영향을 미치며, 리튬 수입 역시 가격 신호에 따른 조정보다는 기존 공급망 구조와 특정 공급국에 대한 의존 관계에 크게 좌우되는 특성을 보인다.
이러한 구조적 특성을 고려할 때, 핵심광물 공급망 관리는 산업 지속성과 경제안보를 좌우하는 전략적 사안으로 인식될 필요가 있다. 최근 산업통상자원부가 경제안보 전담 조직으로 산업자원안보실을 신설한 것은 이러한 문제의식을 제도적으로 반영한 조치로 해석할 수 있다(Chosun Ilbo, 2025). 향후 공급망 취약성 평가와 대응 전략 수립 과정에서는 품목별 기술적 특성, 비용 민감도, 공급국 의존 구조, 그리고 가치사슬 내 위치를 고려한 중장기적 접근이 요구되며, 이는 핵심광물 공급망 관리의 정책 틀로 활용될 수 있을 것이다.
Acknowledgments
본 논문은 2025년도 교육부 및 부산시의 재원으로 부산RISE혁신원의 지원을 받아 수행된 지역혁신중심 대학지원체계(RISE)의 결과임(2025-RISE-02-001-037). 또한, 2023 ~ 2025년 대한민국 교육부와 한국연구재단의 지원을 받아 수행된 연구임(NRF-2023S1A5A2A21085534).
Notes
References
-
Baldwin R, Freeman R. 2022. Risks and global supply chains: What we know and what we need to know. Annu Rev Econ 14: Submitted.
[https://doi.org/10.1146/annurev-economics-051420-113737]
-
Bems R, Johnson RC, Yi KM. 2011. Vertical linkages and the collapse of global trade. Am Econ Rev 101(3): 308-312.
[https://doi.org/10.1257/aer.101.3.308]
- Chosun Ilbo. 2025 Dec 24. Government to establish an “Office for Industrial Resource Security” dedicated to economic security: Ministry of Trade, Industry and Energy’s largest organizational reform in 12 years.
- Conte M, Cotterlaz P, Mayer T. 2022. The CEPII gravity database. CEPII Work Pap No. 2022-05.
-
Fernandez V. 2018. Price and income elasticity of demand for mineral commodities. Resour Policy 59: 160-183.
[https://doi.org/10.1016/j.resourpol.2018.06.013]
- Gielen D, Lyons M. 2022. Critical materials for the energy transition: Lithium. Technical Paper 1/2022. Abu Dhabi: International Renewable Energy Agency (IRENA).
-
Hao H, Ma Z, Wang A, Xing W, Song H, Zhao P, Wei J, Zheng S. 2023. Modeling and assessing the robustness of the lithium global trade system against cascading failures. Resour Policy 85: 103822.
[https://doi.org/10.1016/j.resourpol.2023.103822]
- IEA. 2023. The role of critical minerals in clean energy transitions. Paris: International Energy Agency.
- IEA. 2025. Global Critical Minerals Outlook 2025. Paris: International Energy Agency.
- IMF. 2025. Exchange rate. International Monetary Fund; [accessed 2025 Nov 3]. https://data.imf.org/en/datasets/IMF.STA:ER
-
Johansen S. 1988. Statistical analysis of cointegration vectors. J Econ Dyn Control 12(2-3): 231-254.
[https://doi.org/10.1016/0165-1889(88)90041-3]
-
Jones EC Jr. 2024. Lithium supply chain optimization: A global analysis of critical minerals for batteries. Energies 17(11): 2685.
[https://doi.org/10.3390/en17112685]
-
Kelly JC, Wang M, Dai Q, Winjobi O. 2021. Energy, greenhouse gas, and water life cycle analysis of lithium carbonate and lithium hydroxide monohydrate from brine and ore resources and their use in lithium ion battery cathodes and lithium ion batteries. Resour Conserv Recyl 174: 105762.
[https://doi.org/10.1016/j.resconrec.2021.105762]
-
Kim DH, Jeong SH. 2024. Analysis of the impact of logistics risks on supply chains of critical mineral resources in Korea: Focused on lithium minerals (in Korean with English abstract). J E-Bus Stud 25(6): 179-193.
[https://doi.org/10.20462/tebs.2024.12.25.6.179]
- Kim JS. 2024. Global trends in critical mineral supply chains and policy implications (in Korean). World Energy Market Insight 24-4. Ulsan, Korea: Korea Energy Economics Institute.
- Kim KH, Kim JS. 2024. Analysis of the Korean copper price elasticity using time-varying model (in Korean with English abstract). Environ Resour Econ Rev 33(2): 135-157.
- Kim KP, Lee HK, Lee BR, Kim SH, Son WJ. 2024. Japan’s strategic critical minerals policy and implications for Korea (in Korean with English abstract). Sejong, Korea: Korea Institute for International Economic Policy (KIEP). Policy Research Briefing.
- Kyung HK, Choi YH, Lee J, Choi HK, Nam SW, Choi MC, Hwang KI, Jung JE, Kim DG, Kim YP, Kim JH, Jeon HH, Kim JH. 2023. Analysis on global supply chain structure and economic security risks concerning key industries of strategic value (in Korean with English abstract). Sejong, Korea: Korea Institute for Industrial Economics and Trade (KIET). Research Report 2023-26.
- Lee S, Yeo JS, Jo YJ. 2023. Critical minerals for electric vehicle batteries (in Korean). KISTEP Brief No. 68. Korea Institute of S&T Evaluation and Planning.
-
Levchenko AA. 2007. Institutional quality and international trade. Rev Econ Stud 74(3): 791-819.
[https://doi.org/10.1111/j.1467-937X.2007.00435.x]
-
Martin W, Weidner M, Zylkin T. 2019. Bias and consistency in three-way gravity models. J Int Econ 119: 199-210.
[https://doi.org/10.1016/j.jinteco.2021.103513]
-
Nunn N. 2007. Relationship-specificity, incomplete contracts, and the pattern of trade. Q J Econ 122(2): 569-600.
[https://doi.org/10.1162/qjec.122.2.569]
-
Oka A. 2025. Diversification of rare earth metals supply chain: Can the US rely on non-Chinese sources? J Gov Econ 100156.
[https://doi.org/10.1016/j.jge.2025.100156]
-
Park DH, Kim JI, Kim JH. 2025. Dynamic effects of critical mineral price shocks on inflation in South Korea: A comparative analysis with crude oil prices (in Korean with English abstract). Korean Energy Econ Rev 24(2): 143-179.
[https://doi.org/10.22794/keer.2025.24.2.005]
-
Santos Silva JMC, Tenreyro S. 2006. The log of gravity. Rev Econ Stat 88(4): 641-658.
[https://doi.org/10.1162/rest.88.4.641]
-
Sari R, Hammoudeh S, Soytas U. 2010. Dynamics of oil price, precious metal prices, and exchange rate. Energy Econ 32(2): 351-362.
[https://doi.org/10.1016/j.eneco.2009.08.010]
-
Shojaeddini E, Alonso E, Nassar NT. 2024. Estimating price elasticity of demand for mineral commodities used in lithium-ion batteries in the face of surging demand. Resour Conserv Recycl 207: 107664.
[https://doi.org/10.1016/j.resconrec.2024.107664]
-
Stender F, Vogel T. 2025. From mines to markets: Gravity model insights on critical raw material trade. IDOS Discussion Paper No. 17/2025. Bonn: German Institute of Development and Sustainability (IDOS).
[https://doi.org/10.1016/j.econlet.2026.112898]
-
Tian X, Geng Y, Sarkis J, Gao C, Sun X, Micic T, Wang X. 2021. Features of critical resource trade networks of lithium-ion batteries. Resour Policy 73: 102177.
[https://doi.org/10.1016/j.resourpol.2021.102177]
- UNCTAD. 2023. Technical note on critical minerals: Supply chains, trade flows and value addition. Geneva: United Nations Conference on Trade and Development.
- UNCTAD. 2025. UN comtrade database; [accessed 2025 Nov 3]. https://comtradeplus.un.org/
- World Bank. 2025a. World development indicators; [accessed 2025 Nov 3]. https://databank.worldbank.org/source/world-development-indicators
- World Bank. 2025b. Worldwide governance indicators; [accessed 2025 Nov 3]. https://databank.worldbank.org/source/worldwide-governance-indicators
-
Yaseen I, Singh S, Banerjee S. 2025. Bolstering critical minerals trade between India and other MSP countries: A gravity model evaluation. Resour Policy 103: 105542.
[https://doi.org/10.1016/j.resourpol.2025.105542]
Appendix
부록
A. VECM 분석을 위한 사전 검정
단위근 검정 결과, 일부 변수의 경우 차분 후 ADF 검정에서 단위근 귀무가설이 명확히 기각되지 않았으나, KPSS 검정과 공적분 분석 결과를 종합할 때 모든 변수는 I (1)으로 판단된다.
VAR 시차 선택 결과, BIC와 HQIC는 시차 1을, AIC는 시차 2를 각각 제시하였으나, 보다 충분한 동태 구조 반영과 잔차 자기상관 문제를 완화하기 위해 AIC 기준에 따라 두 모형 모두 VAR (2)를 채택하였다.
내생변수들 간의 장기적인 균형 관계가 존재하는지 확인하기 위해 Johansen 공적분 검정을 실시하였다(Johansen, 1988). 검정 결과, Model 1과 Model 2 모형 모두에서 변수들 간의 공적분 관계가 존재하는 것으로 나타났다.
두 모델에서 모두 귀무가설 r = 0 및 r ≤ 1에 대한 Trace Statistic이 5% 유의수준에서의 임계값을 상회하여 귀무가설이 기각되었다. 반면, r ≤ 2에 대해서는 귀무가설을 기각하지 못하여, 변수들 사이에 총 2개의 공적분 관계(r=2)가 존재함을 확인하였다. 변수들 간에 장기적 균형관계가 존재함이 확인되었으므로, 본 연구에서는 VAR 모형 대신 공적분 구조를 반영할 수 있는 VECM (Vector Error Correction Model)을 적용하였다.
두 모형에서 모두 수준 변수 기준의 VAR 모형에서 최적 시차(p)가 2로 산출되었으므로, 차분 변수를 사용하는 VECM 모형의 시차(p-1)는 1로 설정하였다. 또한, LR 검정 결과 두 모델 모두에서 추세항은 통계적으로 유의하지 않은 것으로 나타나 상수항만 포함하는 ci 공적분 모형이 적합한 것으로 판단되었다.
VECM 추정 결과의 타당성을 점검하기 위해 잔차 자기상관에 대한 LM 검정을 실시하였다. 검정 결과, Model 1과 Model 2 모두에서 잔차 자기상관이 존재하지 않는다는 귀무가설을 5% 유의수준에서 기각하지 못하였다. 이에 따라, 추정된 VECM 모형은 통계적으로 안정적인 동태 구조를 갖는 것이 확인되었다.
B. 공급망 집중도와 취약성 변수의 정의
공급망 집중도는 특정 수입국이 소수의 공급국에 얼마나 집중적으로 의존하고 있는지를 나타내는 지표로, 본 연구에서는 허핀달–허쉬만 지수(Herfindahl–Hirschman Index, HHI)를 활용하여 측정한다. HHI는 전통적으로 시장 집중도를 측정하는 데 사용되는 지표이나, 무역 분석에서는 특정 품목의 수입 구조가 소수의 공급국에 얼마나 편중되어 있는지를 나타내는 공급망 집중도의 지표로 널리 활용되고 있다. HHI는 다음과 같이 도출된다.
| (10) |
여기서 Dependencyijt는 수입국 i가 연도 t에 공급국 j로부터 수입한 리튬의 비중을 의미한다. HHI 값은 0과 1 사이의 값을 가지며, 값이 클수록 수입이 소수의 공급국에 집중되어 있음을 의미한다. 예를 들어, 단일 국가로부터 전량을 수입하는 경우 HHI는 1에 수렴하며, 다수의 공급국으로부터 균등하게 수입하는 경우 HHI는 0에 가까워진다.
공급망 집중도는 공급망의 구조적 취약성을 나타내는 ‘양적 지표’로서, 특정 공급국에서의 생산 차질, 수출 통제, 지정학적 충격 등이 발생할 경우 수입국의 조달 안정성이 크게 훼손될 가능성을 반영한다. 기존 무역 및 공급망 연구에서는 높은 공급망 집중도가 무역 변동성 확대, 가격 급등, 대체 조달 비용 증가 등으로 이어질 수 있음을 지적해 왔다. 특히 핵심광물과 같이 대체 가능성이 낮고 특정 국가에 매장·생산이 집중된 품목일수록, 공급망 집중도는 조달 리스크를 설명하는 핵심 요인으로 작용한다.
공급망 취약성 변수(Supply Chain Network Vulnerability, SCNV)는 특정 공급국에 대한 수입 의존 구조와 해당 공급국의 제도적 안정성을 결합한 상호작용 변수로 정의한다. 이는 단순히 어느 국가에 얼마나 의존하는지를 넘어, 어떤 제도적 환경을 가진 국가에 의존하고 있는가가 무역 조정에 미치는 영향을 식별하기 위한 목적에서 도입되었다. SCNV는 다음과 같이 도출된다.
| (11) |
여기서 Dependencyijt는 수입국 i가 연도 t에 공급국 j로부터 수입한 리튬의 비중으로, 특정 공급국에 대한 수입 의존도를 나타낸다. RegulatoryQualityjt는 World Governance Indicators (WGI) (World Bank, 2025b)에서 제공하는 공급국 j의 연도별 규제 품질(Regulatory Quality) 지표로, 정부의 규제 집행 능력, 정책 예측 가능성, 민간 부문의 활동을 저해하는 규제의 정도 등을 포괄적으로 반영한다.
이렇게 구성된 SCNV는 제도적으로 안정적인 국가에 대한 의존 구조가 무역 조정에 어떠한 영향을 미치는지를 포착하기 위한 변수이다. 따라서 SCNV의 계수는 “수입 의존도가 높은 공급국의 제도적 안정성이 무역 흐름의 안정성 및 조정 방식에 어떤 차이를 초래하는가”로 해석될 수 있다. Nunn (2007)과 Levchenko (2007)는 제도적 질이 중간재·복잡한 생산 공정의 무역 패턴에 중요한 역할을 함을 보였으며, 공급망이 복잡해질수록 제도적 신뢰성과 계약 집행 능력이 무역에 더 큰 영향을 미친다는 점을 강조하였다. 또한 최근 글로벌 가치사슬(GVC) 연구에서도 공급국의 제도적 리스크가 공급망의 취약성과 전파 효과를 증폭시킬 수 있음이 지적되고 있다(Baldwin and Freeman, 2022; Bems et al., 2011).
공급국의 제도적 안정성을 수입 의존 구조와 직접 결합한 SCNV 지표를 무역 중력모형에 명시적으로 활용함으로써, 공급망의 ‘양적 집중도(HHI)’와는 구별되는 ‘질적 취약성’이 리튬 무역의 가격·물량·조달 구조 조정에 미치는 영향을 실증적으로 분석한다는 점에서 기존 연구와 차별성을 갖는다.

